ECE Formulas

0.0(0)
studied byStudied by 1 person
call kaiCall Kai
learnLearn
examPractice Test
spaced repetitionSpaced Repetition
heart puzzleMatch
flashcardsFlashcards
GameKnowt Play
Card Sorting

1/99

flashcard set

Earn XP

Description and Tags

Complete formulas for ECE

Last updated 12:56 AM on 2/9/23
Name
Mastery
Learn
Test
Matching
Spaced
Call with Kai

No analytics yet

Send a link to your students to track their progress

100 Terms

1
New cards
Elementary Particles
knowt flashcard image
2
New cards
Maximum Number of Electrons in a Shell (Bohr Model)
knowt flashcard image
3
New cards
A Coulomb of Electric Charge
knowt flashcard image
4
New cards
Electric Current
knowt flashcard image
5
New cards
Current Density
knowt flashcard image
6
New cards
Wire Resistance
knowt flashcard image
7
New cards
Temperature Effect
knowt flashcard image
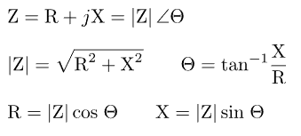
8
New cards
Coulomb's Law
knowt flashcard image
9
New cards
Electric Field
knowt flashcard image
10
New cards
Gauss' Law
knowt flashcard image
11
New cards
Electric Flux Density
knowt flashcard image
12
New cards
Electrical Potential Difference
knowt flashcard image
13
New cards
Magnetic Field
knowt flashcard image
14
New cards
Magnetic Force Due to an Electric Charge
knowt flashcard image
15
New cards
Permeability of Materials
knowt flashcard image
16
New cards
Relative Permeability
knowt flashcard image
17
New cards
Magnetic Flux due to the current in a wire
knowt flashcard image
18
New cards
Magnetic Force due to the current in a wire
knowt flashcard image
19
New cards
Force Between Two Current-Carrying Conductors
knowt flashcard image
20
New cards
Magnetic Field of a Current-Carrying Loop
knowt flashcard image
21
New cards
Magnetic Field of a Solenoid
knowt flashcard image
22
New cards
Magnetomotive Force
knowt flashcard image
23
New cards
Magnetic Flux
knowt flashcard image
24
New cards
Magnetic Field Strength
knowt flashcard image
25
New cards
Reluctance
knowt flashcard image
26
New cards
Reluctance in Series and Parallel
knowt flashcard image
27
New cards
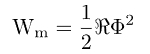
Energy Stored in Magnetic Circuit
knowt flashcard image
28
New cards
Electromagnetic Induction (Faraday's 2nd Law)
knowt flashcard image
29
New cards
Induced Electromotive Force in a Short Length of Wire
knowt flashcard image
30
New cards
Resistors in Series
knowt flashcard image
31
New cards
Resistors in Parallel
knowt flashcard image
32
New cards
Capacitor Charge
knowt flashcard image
33
New cards
Capacitance
knowt flashcard image
34
New cards
Capacitor Current-Voltage Relationship
knowt flashcard image
35
New cards
Capacitive Reactance
knowt flashcard image
36
New cards
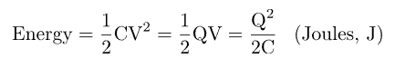
Capacitor Stored Energy
knowt flashcard image
37
New cards
Capacitors in Series
knowt flashcard image
38
New cards
Capacitors in Parallel
knowt flashcard image
39
New cards
Coil Inductance
knowt flashcard image
40
New cards
Inductor Voltage-Current Relationship
knowt flashcard image
41
New cards
Inductive Reactance
knowt flashcard image
42
New cards
Inductor Energy Stored
knowt flashcard image
43
New cards
Mutual Inductance
knowt flashcard image
44
New cards
Total Inductance of Two Series Coils with Mutual Inductance
knowt flashcard image
45
New cards
Inductors in Series
knowt flashcard image
46
New cards
Inductors in Parallel
knowt flashcard image
47
New cards
Transformers
knowt flashcard image
48
New cards
SI Prefixes
knowt flashcard image
49
New cards
Ohm's Law
knowt flashcard image
50
New cards
Electrical Power and Electrical Energy
knowt flashcard image
51
New cards
Thevenin's Theorem
knowt flashcard image
52
New cards
Millman's Theorem
knowt flashcard image
53
New cards
Δ (Delta) and Y (Wye) Network Conversion
knowt flashcard image
54
New cards
Passive Elements Impedances and Admittances
knowt flashcard image
55
New cards
Circuit Impedance
knowt flashcard image
56
New cards
Series RLC Equivalent Impedance
knowt flashcard image
57
New cards
Parallel RLC Equivalent Impedance
knowt flashcard image
58
New cards
RC Low-Pass Filter Cutoff Frequency
knowt flashcard image
59
New cards
RC High-Pass Filter Cutoff Frequency
knowt flashcard image
60
New cards
RL Low-Pass Filter Cutoff Frequency
knowt flashcard image
61
New cards
RL High-Pass Filter Cutoff Frequency
knowt flashcard image
62
New cards
RC Bandpass Filter Cutoff Frequencies
knowt flashcard image
63
New cards
RC Band-Stop Filter Notch Frequency
knowt flashcard image
64
New cards
Passive Filters Attenuation
knowt flashcard image
65
New cards
Electrical Transients
knowt flashcard image
66
New cards
Diode Current Equation
knowt flashcard image
67
New cards
Thermal Voltage
knowt flashcard image
68
New cards
Diode DC or Static Resistance
knowt flashcard image
69
New cards
Diode AC or Dynamic Resistance
knowt flashcard image
70
New cards
Diode Power Dissipation
knowt flashcard image
71
New cards
Diode Forward Current (Ideal Diode Model)
knowt flashcard image
72
New cards
Diode Forward Current (Practical Diode Model)
knowt flashcard image
73
New cards
Diode Forward Current (Complete Diode Model)
knowt flashcard image
74
New cards
Half-Wave Rectifier
knowt flashcard image
75
New cards
Full-Wave Rectifier (Center-Tapped Transformer)
knowt flashcard image
76
New cards
Full-Wave Rectifier (Bridge Network)
knowt flashcard image
77
New cards
BJT Configurations
knowt flashcard image
78
New cards
Bipolar Junction Transistors (BJT) General Formulas
knowt flashcard image
79
New cards
Fixed-Bias Configuration
knowt flashcard image
80
New cards
Emitter-Bias Configuration
knowt flashcard image
81
New cards
Voltage-Divider Bias Configuration
knowt flashcard image
82
New cards
Collector Feedback Configuration
knowt flashcard image
83
New cards
Emitter Follower Configuration
knowt flashcard image
84
New cards
Common-Base Configuration
knowt flashcard image
85
New cards
Darlington Configuration
knowt flashcard image
86
New cards
Cascode Configuration
knowt flashcard image
87
New cards
Feedback Pair Configuration
knowt flashcard image
88
New cards
Direct Coupled Configuration
knowt flashcard image
89
New cards
Field Effect Transistors (FET) Types
knowt flashcard image
90
New cards
Field Effect Transistors (FET) General Formulas
knowt flashcard image
91
New cards
FET Fixed-Bias Configuration
knowt flashcard image
92
New cards
FET Self-Bias Configuration
knowt flashcard image
93
New cards
FET Voltage-Divider Bias Configuration
knowt flashcard image
94
New cards
FET Common-Gate Configuration
knowt flashcard image
95
New cards
Power Amplifiers Table
knowt flashcard image
96
New cards
Class A Series-Fed Amplifier
knowt flashcard image
97
New cards
Class A Transformer-Coupled Amplifier
knowt flashcard image
98
New cards
Class B/AB Amplifier
knowt flashcard image
99
New cards
Class C Amplifier
knowt flashcard image
100
New cards
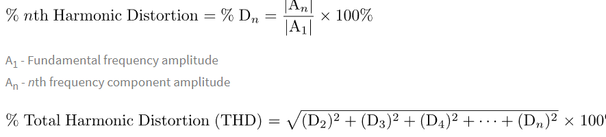
Amplifier Distortion
knowt flashcard image