1/25
Looks like no tags are added yet.
Name | Mastery | Learn | Test | Matching | Spaced | Call with Kai |
|---|
No study sessions yet.

A
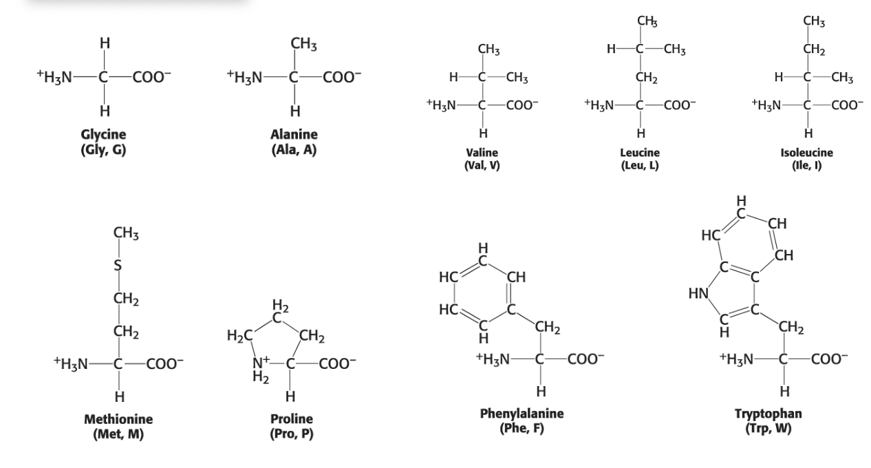
Alanine (Ala), hydrophobic

C
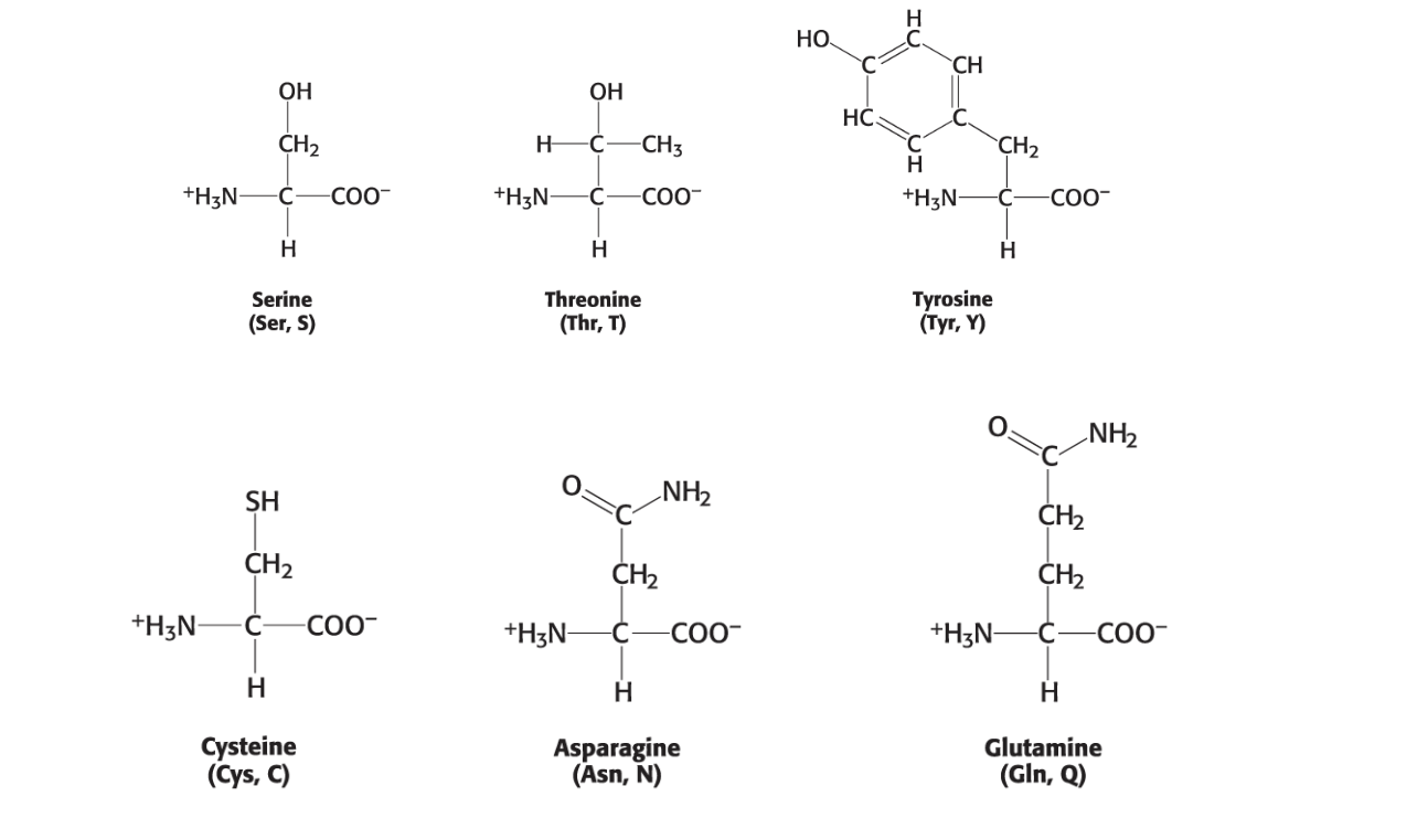
Cysteine (Cys), hydrophilic and polar

D
Aspartate/Aspartic Acid (Asp), hydrophilic and acidic

E
Glutamate/Glutamic Acid (Glu), hydrophilic and acidic

F
Phenylalanine (Phe) aromatic and in the para position, hydrophobic

G
Glycine (Gly). Non-chiral aka not optically active. Hydrophobic

H
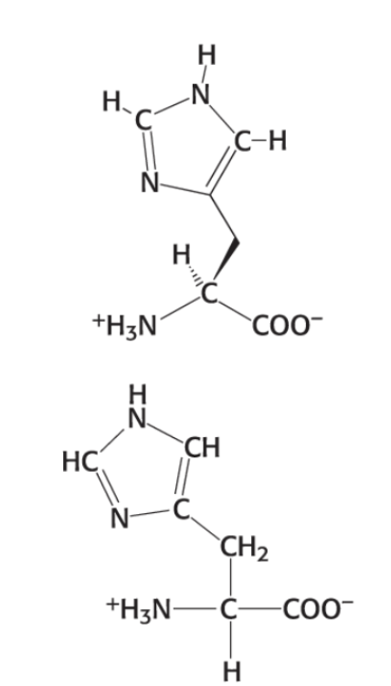
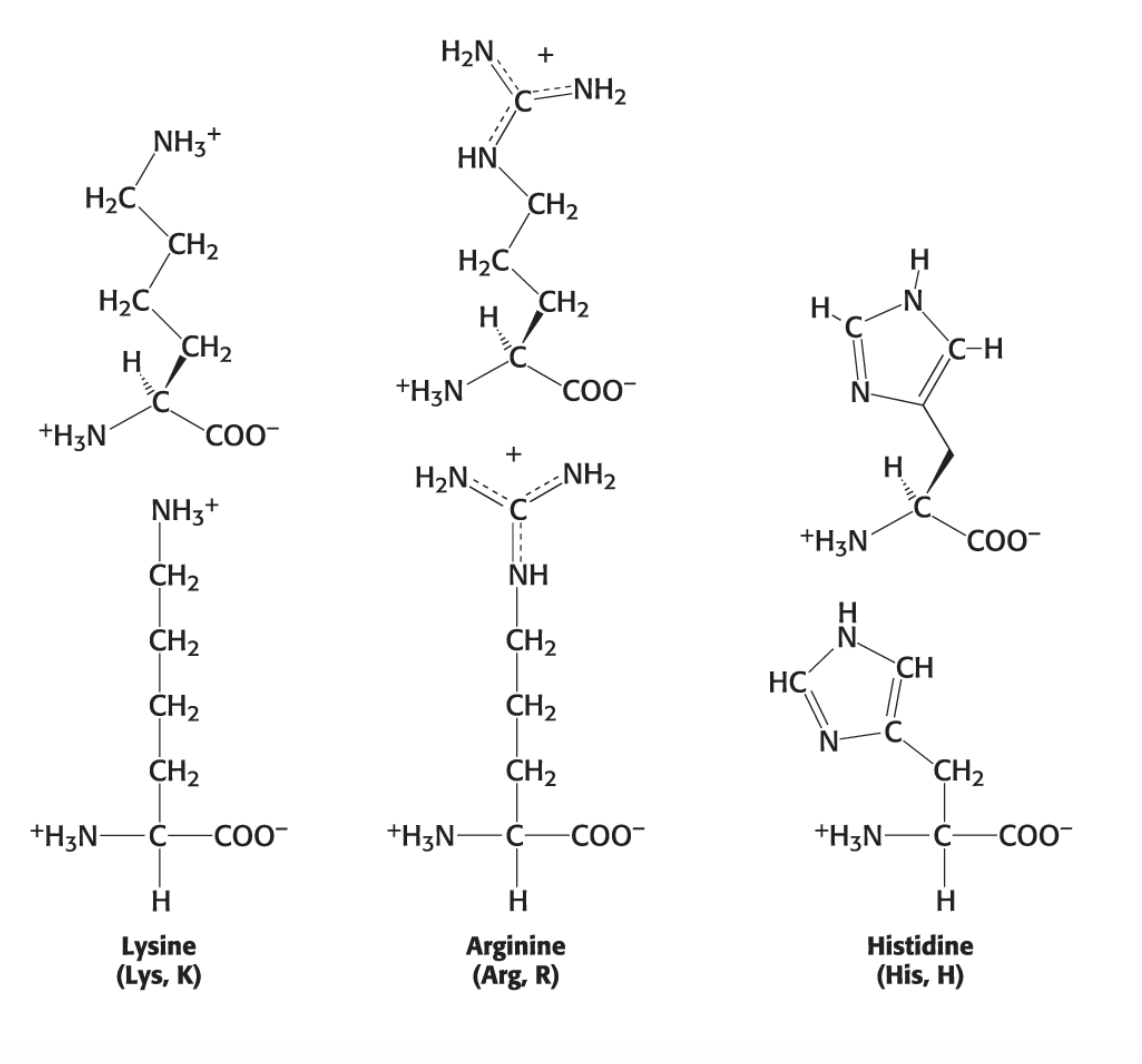
Histidine (His), Basic, Hydrophilic and basic

I
Isoleucine (Ile), sec-butyl. Hydrophobic

K
Lysine (Lys) basic and hydrophilic.

L
Leucine (Leu), hydrophobic

M
Methionine (Met), hydrophobic

N
Asparagine (Asn), Polar and hydrophilic

P
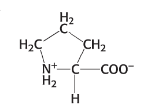
Proline (Pro), hydrophobic

Q
Glutamine (Gln). polar and hydrophilic.

R
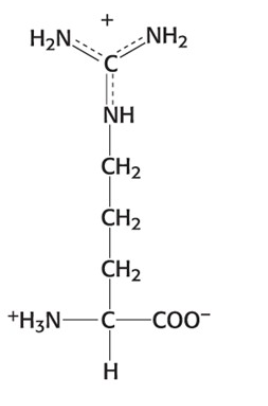
Arginine (Arg) positively charged. Basic and hydrophilic.

S
Serine (Ser). Polar and hydrophilic

T
Threonine (Thr). Polar and hydrophilic

V
Valine (Val) and hydrophobic.

W
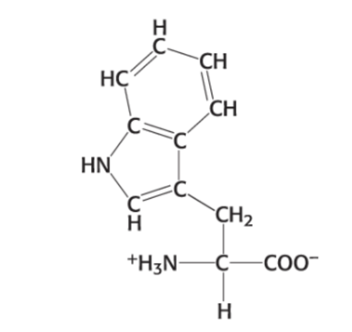
Tryptophan (Trp) aromatic. Mainly hydrophobic, can be hydrophilic bc of indole group.

Y
Tyrosine (Tyr) aromatic. Polar and hydrophilic
Negatively Charged (Acidic) Amino Acids, Hydrophilic
Aspartate (Asp, D)
Glutamate (Glu, E)

Hydrophobic Amino Acids
Glycine (Gly, G)
Alanine (Ala, A)
Valine (Val, V)
Leucine (Leu, L)
Isoleucine (Ile, I)
Methionine (Met, M)
Proline (Pro, P)
Phenylalanine (Phe, F)
Tryptophan (Trp, W) - CAN BE HYDROPHILIC BC OF INDOLE GROUP

Polar Amino Acids, Hydrophilic
Serine (Ser, S)
Threonine (Thr, T)
Tyrosine (Tyr, Y) - CAN BE HYDROPHILIC BC OF -OH ON AROMATIC RING
Cysteine (Cys, C)
Asparagine (Asn, N)
Glutamine (Gln, Q)

Positively (Basic) Charged Amino Acids, Hydrophilic
Lysine (Lys, K)
Arginine (Arg, R)
Histidine (His, H)

Nonessential vs essential amino acids

Table of Typical pKa Values of Ionizable Groups in Proteins
