1/6
Tangent planes, higher ord. part. der.
Name | Mastery | Learn | Test | Matching | Spaced | Call with Kai |
|---|
No analytics yet
Send a link to your students to track their progress

Give the general equation for the tangent plane to a surface f(x,y).
Also called linearization at (x, y) = (a, b)


Give the linearization of surface f(x,y) at (xy) = (a, b)

Give differential of z = f(x,y)

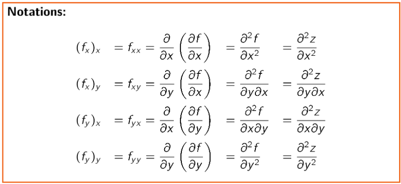
Give second order partial derivatives notations of f(x, y)

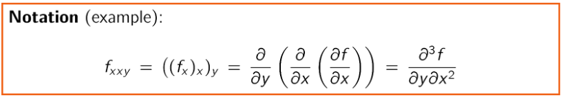
Give higher order partial derivatives notations of f(x, y)

Hwat is Cairaut’s theorem?


