1/22
Looks like no tags are added yet.
Name | Mastery | Learn | Test | Matching | Spaced | Call with Kai |
|---|
No analytics yet
Send a link to your students to track their progress
What is Starch?
It is a polysaccharide found in many parts of a plant in the form of small grains
Monomer of Starch
Alpha glucose
Bond/s in starch
Glycosidic bonds
Structure of Starch
Large polymer
The chains may be branched or unbranched;
The unbranched chain is wound into a tight coil, making the molecule very compact
Where is starch found?
Plastids of flowering plants
Storage structures
Green chloroplasts
What are the 2 types of starch
Amylose
Amylopectin
Structure of Amylose
1,4 glycosidic bond

What is amylose?
A relatively long, linear polysaccharide composed of glucose units linked by α-1,4 glycosidic bonds.
It is coiled like a spring and is less soluble in water than amylopectin.
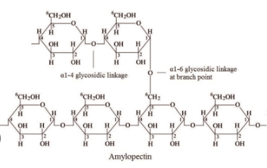
Amylopectin
A highly branched polysaccharide where glucose units are linked by α-1,4 bonds in the main chains
With additional α-1,6 glycosidic bonds creating branch points.

Function(s) of Starch
Energy Storage
A source of organic carbon
5 reasons starch is suitable for energy storage
It is insoluble and therefore doesn’t affect water potential and does not diffuse out of cells
It is compact, therefore it can be stored in a small space
It forms alpha glucose when hydrolysed, which is both easily transported and used in respiration
The branched form (amylopectin) has many ends which can each be acted on by enzymes simultaneously which allows glucose monomers to be released rapidly
Monomer of cellulose
Beta glucose
Bond/s in Cellulose
Beta 1-4 glycosidic bonds
Hydrogen bonds between the cellulose chains
Structure of Cellulose
Has straight unbranched chains which run parallel to each other
Hydrogen bonds form cross linkages between adjacent chains
The large number of these hydrogen bonds are what strengthen cellulose
The cellulose chain has adjacent glucose molecules rotated by 180 degrees.
This allows the hydrogen bonds to be formed between the hydroxyl groups on adjacent parallel chains that help to give cellulose its structural stability

Functions of cellulose
A major component of plant cell walls providing rigidity to the cell
Prevents the cell from bursting as water enters the cell via osmosis by exerting inward pressure preventing any further influx of water
As a result, non woody parts of the plant are semi rigid.
Important in maintaining stems and leaves in the turgid state to maximise surface area for photosynthesis
Where is cellulose found?
The cell wall of plant cells
3 Reasons cellulose is suitable for its function of providing support and rigidity
Cellulose molecules are made up of beta glucose, forming long, straight unbranched chains
These cellulose molecular chains run parallel to each other and are cross linked by hydrogen bonds which add collective strength
These molecules are then grouped to form microfibrils which are then grouped to form fibres with more strength
Monomer of glycogen
Alpha glucose
Bond/s in glycogen
1-4 glycosidic bonds with extra 1-6 glycosidic bonds between the branches
Structure of glycogen
Similar to starch (amylopectin) however, it has shorter chains and is much more branched (has more (has more frequent branching)
Less dense and more soluble than starch.
Function of glycogen
A storage polysaccharide found in animals which can be rapidly broken down to produce glucose monomers
Where is glycogen found?
In animals and bacteria
In animals; it is found in small granules in liver and muscle cells
Glycogen is suitable for its function because…
It is insoluble and therefore does not tend to draw water in or out of the cell due to osmosis and due to it being insoluble it does not diffuse out of cells
It is compact, therefore it can be stored in a small space
It is more highly branched than starch therefore it has more ends which can be simultaneously acted on by enzymes
It is therefore more rapidly broken down into glucose monomers. This is important to animals which have a higher metabolic rate than plants.