1/20
Looks like no tags are added yet.
Name | Mastery | Learn | Test | Matching | Spaced | Call with Kai |
|---|
No study sessions yet.

d/dx(cu)
cu′


d/dx(u ± v)
u′ ± v′


d/dx(uv)
u′v + uv′


d/dx(u/v)
(vu′ − uv′)/v²


d/dx(c)
0


d/dx(x)
1


d/dx(uⁿ)
nuⁿ⁻¹u′


d/dx(eᵘ)
eᵘu′


d/dx(ln u)
u′/u


d/dx(sin u)
(cos u)u′


d/dx(cos u)
−(sin u)u′


d/dx(tan u)
(sec² u)u′


d/dx(cot u)
−(csc² u)u′


d/dx(sec u)
(sec u tan u)u′


d/dx(csc u)
−(csc u cot u)u′

d/dx(arcsin u)
u′/√(1 − u²)

d/dx(arccos u)
−u′/√(1 − u²)

d/dx(arctan u)
u′/(1 + u²)

d/dx(arccot u)
−u′/(1 + u²)

d/dx(arcsec u)
u′/(|u|√(u² − 1))

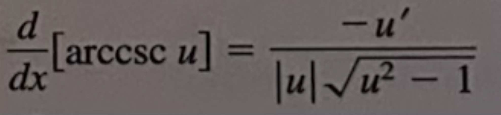
d/dx(arccsc u)
−u′/(|u|√(u² − 1))
