1/27
Looks like no tags are added yet.
Name | Mastery | Learn | Test | Matching | Spaced | Call with Kai |
|---|
No analytics yet
Send a link to your students to track their progress

What happens during Hydroxylation?
Adds OH to either an aliphatic carbon or aromatic ring carbon

What happens during epoxidation?
Adds oxygen across a double bond → forms epoxide (3-membered ring)

What happens during N-dealkylation?
Removes alkyl group from nitrogen → forms amine + aldehyde/ketone
has hemiaminal intermediate → functional group with a hydroxyl and an amine bonded to the same carbon atom

What happens during O-dealkylation?
Removes alkyl group from oxygen → forms alcohol/phenol + aldehyde/ketone
has hemiacetal intermediate → functional group with a hydroxyl and one alkoxy (—OR) group attached to the same carbon atom

What happens during Oxidative dehalogenation?
Removes halogen (Cl, F, etc.) and replaces with oxygen
What happens during S-Dealkylation?
Removes an alkyl group from sulfur (S) → forms a thiol (–SH) + aldehyde/ketone

What happens during Ester Cleavage (CYP-Catalyzed)?
breaks ester bond → forms alcohol intermediate → carboxylic acid


What happens during oxidative deamination (CYP) ?
Removes NH₂ group → forms ketone or aldehyde + ammonia (NH3)

What happens during oxidative deamination (MAO) ?
Removes NH₂ group → forms ketone or aldehyde + ammonia (NH3)
ALSO creates H2O2, hydrogen peroxide → reactive/damaging byproduct
How does MAO in oxidative deamination work?
The amine becomes an aldehyde
Nitrogen leaves as ammonia
Oxygen gets reduced → forms hydrogen peroxide (H₂O₂)
H₂O₂ is reactive/damaging, so cells often use catalase to break it down.

What happens in oxidative desulfurization?
Replaces sulfur (S) with oxygen (O)
thiol → alcohol or similar

What happens in N-Oxidation (CYP and FMO)?
Adds oxygen to nitrogen → forms N-oxide (N—O)
FMO Used for tertiary N (3*)

What happens in S-Oxidation?
Adds oxygen to sulfur → forms sulfoxide or sulfone (S=O or O=S=O)
Occurs mostly with FMO

What happens in Beta-Oxidation?
Breaks down fatty acids by removing 2-carbon units (acetyl-CoA) from the β-carbon
Occurs in mitochondria → fuels ATP production
coenzyme A required

What happens in purine / pyrimidine oxidation?
Adds –OH to the purine/pyrimidine → generates reactive oxygen species (ROS)


What enzymes are needed for purine / pyrimidine oxidation?
Xanthine oxidase
or
Aldehyde oxidase

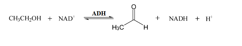
What happens during Alcohol Oxidation?
Alcohol → aldehyde (or ketone)
What enzymes and cofactors required for alcohol oxidation?
Alcohol dehydrogenase → ADH
Cofactor → NAD+
Is a reversible reaction

What happens during Aldehyde oxidation?
Aldehyde → carboxylic acid
What enzymes and cofactors required aldehyde oxidation?
Aldehyde dehydrogenase → ALDH
Cofactors → NAD+ and H2O

What happens during Dihydrodiol Dehydrogenase?
Dihydrodiol → catechol → auto-oxidizes → ortho-quinone

What enzymes are required for dihydrodiol dehydrogenase?
Enzyme → DDH or dihydrodiol dehydrogenase
Cofactors → NADP+, gets turned into NADPH

What can happen to ortho-quinones?
Undergo redox cycling → repeatedly reduced/oxidized → generates ROS
What reactions are CYP catalyzed?
Hydroxylation
Epoxidation
N-dealkylation
O-dealkylation
Oxidative dehalogenation
Ester Cleavage
Oxidative desulfurization
What reactions are non-CYP catalyzed?
Beta Oxidation → Coenzyme A
Purine / Pyrimidine Oxidation → Xanthine oxidase / Aldehyde Oxidase
Alcohol oxidation → ADH
Aldehyde oxidation → ALDH
Dihydrodiol dehydrogenase → DDH
What reactions are occurs with multiple enzymes?
Oxidative deamination → CYP and MAO
N-oxidation → CYP and FMO for tertiary amines
S-oxidation → FMO mostly, but CYP can happen
What is needed for the enzyme MAO?
O2
H2O
What is needed for the enzyme FMO?
NADPH
O2
H+