1/53
Looks like no tags are added yet.
Name | Mastery | Learn | Test | Matching | Spaced | Call with Kai |
|---|
No analytics yet
Send a link to your students to track their progress
Who established the field of behaviourism?
John Watson
What arguments did Watson make for the Behavioural Manifesto - with the aim of making psychology more scientific?
Should only used objective data and avoid all forms of subjective data
Need to be explicit about goals, prediction and influence
Animal research is fine (controversial)
What is Applied Behaviour Analysis (ABA)?
The attempt to solve behavioural problems by providing antecedents and/or consequences that change behaviour.
Change frequency of behaviour, and ignore labels. Changes behaviour itself rather than restrict someone to a label.
What are the steps of a Functional Behavioural Assessment? (FBA)
Defining target behaviour, identify functional relations between target behaviours and its antecedents and consequences, identifying an effective intervention for changing the rate of the target behaviour.
What is a functional analysis?
The process of testing hypotheses about the functional relations among antecedents, target behaviour and consequences.
What is the 3-term contingency?
Antecedent, Behaviour, Consequences (ABC)
What are the two types of behaviour problems?
Those that do not occur enough, those that occur too much.
What is done to increase behaviour?
Reinforcement
What is reinforcement?
The procedure of providing consequences for a behaviour that increase or maintain the frequency of that behaviour.
What is a positive reinforcer?
A reinforcing event in which something is added following a behaviour
What is a negative reinforcer?
A reinforcing event in which something is removed following a behaviour
What is used to decrease the rate of behaviour?
Extinction and punishment
What is extinction?
Behaviour is maintained by consequences, therefore preventing consequences that maintain a behaviour weakens it.
Withholding the reinforcers that maintain a target behaviour.
What is punishment?
The procedure of providing consequences for a behaviour that decrease the frequency of that behaviour.
What is punishment NOT according to behaviourists?
Retribution or justice.
What resulted in the death of behaviourism?
Noam Chomsky, moving on to focusing on how people acquire, store and process information - cognitive psychology.
How is behaviourism still prevalent in psychology?
The terminology lives on. Principles of behaviour analysis are still used in many applied settings. Has advantage of prediction and influence. Hasn’t had an issue with the replication crisis. Aligns with other well-supported movements in psychology.
What are the two ways of recording behaviour rates?
Continuous and interval
What is continuous recording?
Recording each and every occurrence of a target behaviour within a given period
What is interval recording?
Recording whether a behaviour occurred during a series of short intervals within an observation period. Whether or not a behaviour occurred within a given period.
What is inter observer reliability?
A measure of the degree of agreement in data tallies made by 2 or more observers
What inter observer reliability score would most BCBAs be happy with?
90, anything below 80 is not reliable
What are simple frequency graphs for behaviour rates?
Each data point indicates the number of times a behaviour has occurred over a period of time.

What are cumulative frequency graphs for behaviour rates?
Each data point indicates the total number of times the behaviour has occurred up to that point in time.

How are interventions evaluated?
Group designs not helpful for individual situations. Behavioural analysts look at practical effects not statistical significance.
After a baseline period, IV is introduced - baseline compared to intervention.
What is a single case experimental design?
Behaviour of an individual is compared under experimental and control conditions.
What is a baseline period?
A period during which the behaviour under study is recorded, but no attempts are made to modify it
What is an ABAB reversal design?
A single case design in which the baseline and intervention conditions are repeated with the same person.
What is a multiple baseline design?
A single case design in which the effects of an intervention are recorded across situations, behaviours or individuals.
What is an alternating treatment design?
A single case design in which two or more interventions alternate systematically to compare different treatments.
What does A stand for?
Baseline
What does B stand for?
Intervention
What is always on the X axis?
Time
What is always on the Y axis?
Behaviour
What did Dadarrio et al.’s (2007) intervention involve?
AB teacher intervention with bowl of M&Ms, every time a child misbehaves they remove one from the bowl. Punishment = less M&Ms.
What did Dadarrio et al. (2007) AB intervention graph look like?

What are the issues with Dadarrio et al.’s (2007) AB intervention results?
Effects may be specific to that population. When there is an intervention teacher may subconsciously change other behaviours. May have been another variable creating class wide changes. How do we know if the intervention caused it itself?
No replication means cannot tell whether intervention is powering results.
What is used to counter issues with AB designs?
ABAB designs, does it twice can better conclude whether intervention made a difference.
How do you know whether an intervention works with an ABAB design?
If they return to baseline in 2nd baseline period, and changes again after 2nd baseline - can more strongly conclude intervention is powering results. Otherwise may be another variable.
What graph demonstrates an ABAB reversal design?
Krentz et al. (2016)

Why might a multiple baseline design be conducted?
May not want to return to baseline for serious behaviours. Can measure effects of intervention and replicate without returning to baseline.
How does a multiple baseline design work?
Baseline recorded in one setting, when stable implement intervention, then measure baseline in another setting, wait a few days and implement intervention again - repeated. Accounts for potential confounding variables.
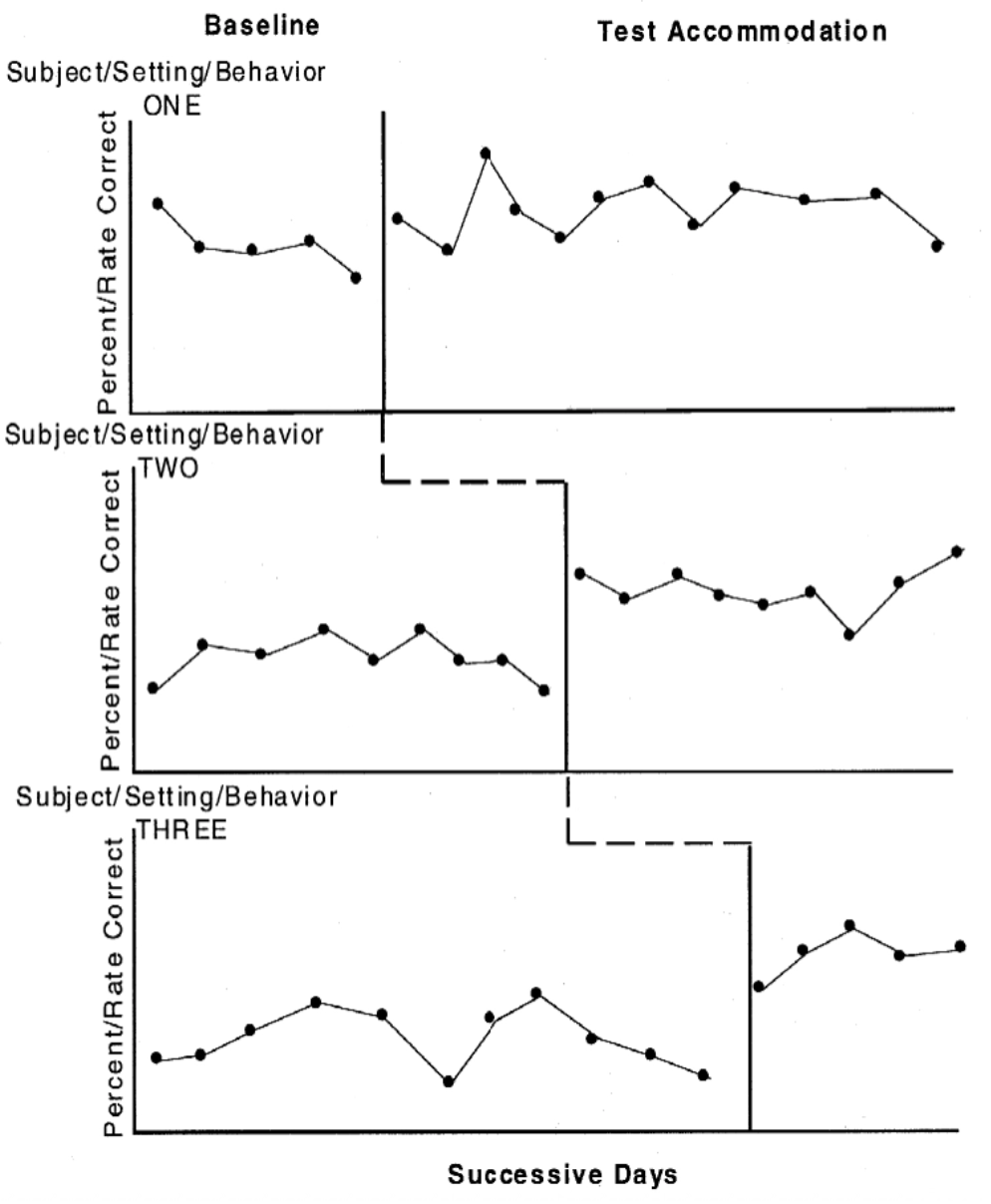
Which graph demonstrates a multiple baseline design?

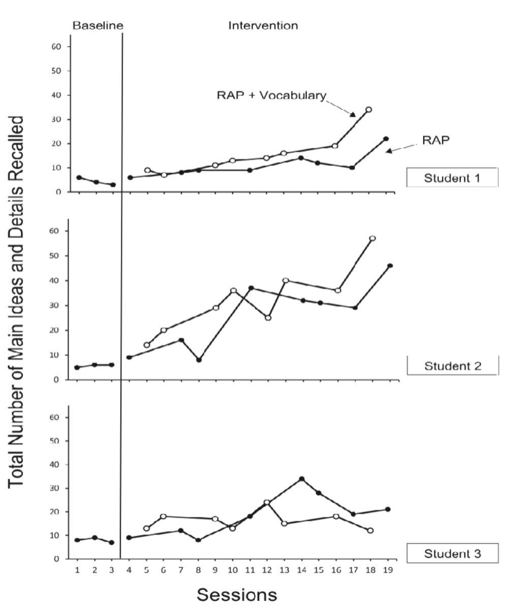
What did Groden and Cautela’s (1988) intervention involve?
Multiple baseline design on children with mild disabilities who did not talk to eachother in class. Wanted to help develop friendships, therefore gave them skills before they entered class that may initiate conversations.
Study across 3 students, staggered start of intervention to see whether that was what changed behaviour.

Which graph demonstrates an alternating treatment design?

What did Hua et al.’s (2020) intervention involve?
Alternating design for 2 reading interventions on 3 students.

What single case experimental design studies have no intervention stage?
Observational SCEDs
Can different designs can be combined e.g. ABA with multiple baseline design?
Yes
What problem might occur with ABAB designs?
Intervention in B leaks over to 2nd baseline phase. In this case, the 2nd baseline phase becomes a maintenance phase. Can be called an ABa design.
What must happen in alternating treatment designs?
Treatments must be balanced (systematically varied) across periods or conditions.
What is a changing criterion design?
Required performance changes across time, criteria changes. As behaviour stabilises at each step, the criterion then changes.

What technological advancements can be used to record data easier for SCEDs?
Step counters, sleep trackers, heart rate, distance covered, time spent on social media, minutes of lectures watched.
What is an ecological momentary assessment?
Method where people record their own behaviours/thoughts in real time in their natural environment. Repeated sampling. Being increasingly used.