1/20
Looks like no tags are added yet.
Name | Mastery | Learn | Test | Matching | Spaced | Call with Kai |
|---|
No analytics yet
Send a link to your students to track their progress

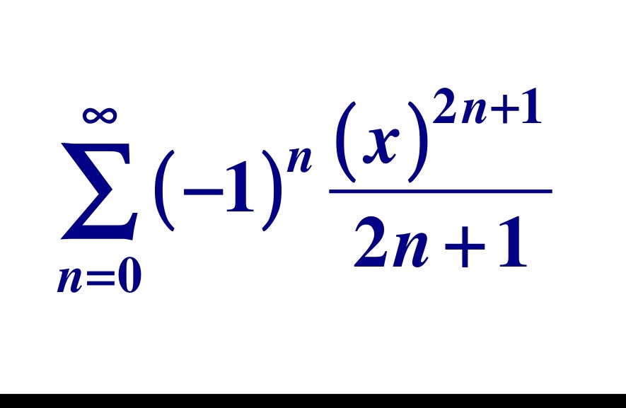
sigma form


sigma form


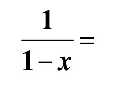
interval of convergence


interval of convergence


sigma form


interval of convergence


sigma form


interval of convergence


sigma form


interval of convergence


sigma form


interval of convergence


sigma form


interval of convergence


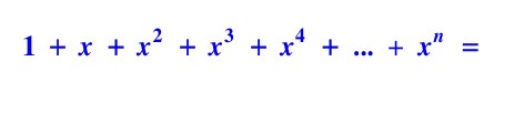
expanded form


expanded form


expanded form


expanded form


expanded form


expanded form


expanded form
