6.1-6.4, 9.3-9.5

0.0(0)
Studied by 0 people
call kaiCall Kai
learnLearn
examPractice Test
spaced repetitionSpaced Repetition
heart puzzleMatch
flashcardsFlashcards
GameKnowt Play
Card Sorting

1/11

Last updated 5:10 AM on 2/27/23
Name
Mastery
Learn
Test
Matching
Spaced
Call with Kai

No analytics yet

Send a link to your students to track their progress

12 Terms

1
New cards
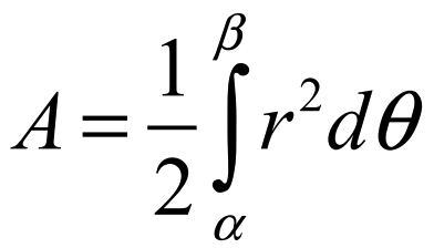
Area under polar curve
knowt flashcard image
2
New cards
Area between polar curves
knowt flashcard image
3
New cards
Disks
knowt flashcard image
4
New cards
Washers
knowt flashcard image
5
New cards
Shells
knowt flashcard image
6
New cards
Cross sections
knowt flashcard image
7
New cards
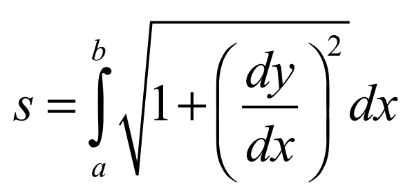
Cartesian arclength
knowt flashcard image
8
New cards
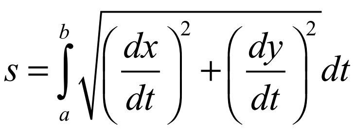
Parametric arclength
knowt flashcard image
9
New cards
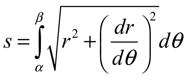
Polar arclength
knowt flashcard image
10
New cards
Polar slope
knowt flashcard image
11
New cards
Sin²(a) =
(1-cos(2a))/2
12
New cards
Cos²(a) =
(1+cos(2a))/2

Explore top notes

note
Chapter 3: Populations
Updated 129d ago
0.0(0)
note
RELIGION EXAM
Updated 997d ago
0.0(0)
note
Chapter 13: Personality
Updated 1322d ago
0.0(0)
note
AP PSYCH - Module 12- 15
Updated 1247d ago
0.0(0)
note
WHAP - Unit 2 Review
Updated 521d ago
0.0(0)
note
Theology Unit 1 Test
Updated 1243d ago
0.0(0)
note
Supply, Demand, and Equilibrium
Updated 1261d ago
0.0(0)
note
Chapter 3: Populations
Updated 129d ago
0.0(0)
note
RELIGION EXAM
Updated 997d ago
0.0(0)
note
Chapter 13: Personality
Updated 1322d ago
0.0(0)
note
AP PSYCH - Module 12- 15
Updated 1247d ago
0.0(0)
note
WHAP - Unit 2 Review
Updated 521d ago
0.0(0)
note
Theology Unit 1 Test
Updated 1243d ago
0.0(0)
note
Supply, Demand, and Equilibrium
Updated 1261d ago
0.0(0)

Explore top flashcards

flashcards
Cinema Quiz 3: Concepts
41
Updated 830d ago
0.0(0)
flashcards
Relative Pronouns
30
Updated 42d ago
0.0(0)
flashcards
Personal Finance Vocab
20
Updated 765d ago
0.0(0)
flashcards
Évaluation anglais
49
Updated 521d ago
0.0(0)
flashcards
Quiz - Age of Exploration
35
Updated 1188d ago
0.0(0)
flashcards
Cinema Quiz 3: Concepts
41
Updated 830d ago
0.0(0)
flashcards
Relative Pronouns
30
Updated 42d ago
0.0(0)
flashcards
Personal Finance Vocab
20
Updated 765d ago
0.0(0)
flashcards
Évaluation anglais
49
Updated 521d ago
0.0(0)
flashcards
Quiz - Age of Exploration
35
Updated 1188d ago
0.0(0)