1/21
Looks like no tags are added yet.
Name | Mastery | Learn | Test | Matching | Spaced | Call with Kai |
|---|
No analytics yet
Send a link to your students to track their progress
What test is always used to test hypotheses for paired samples?
Paired T-test
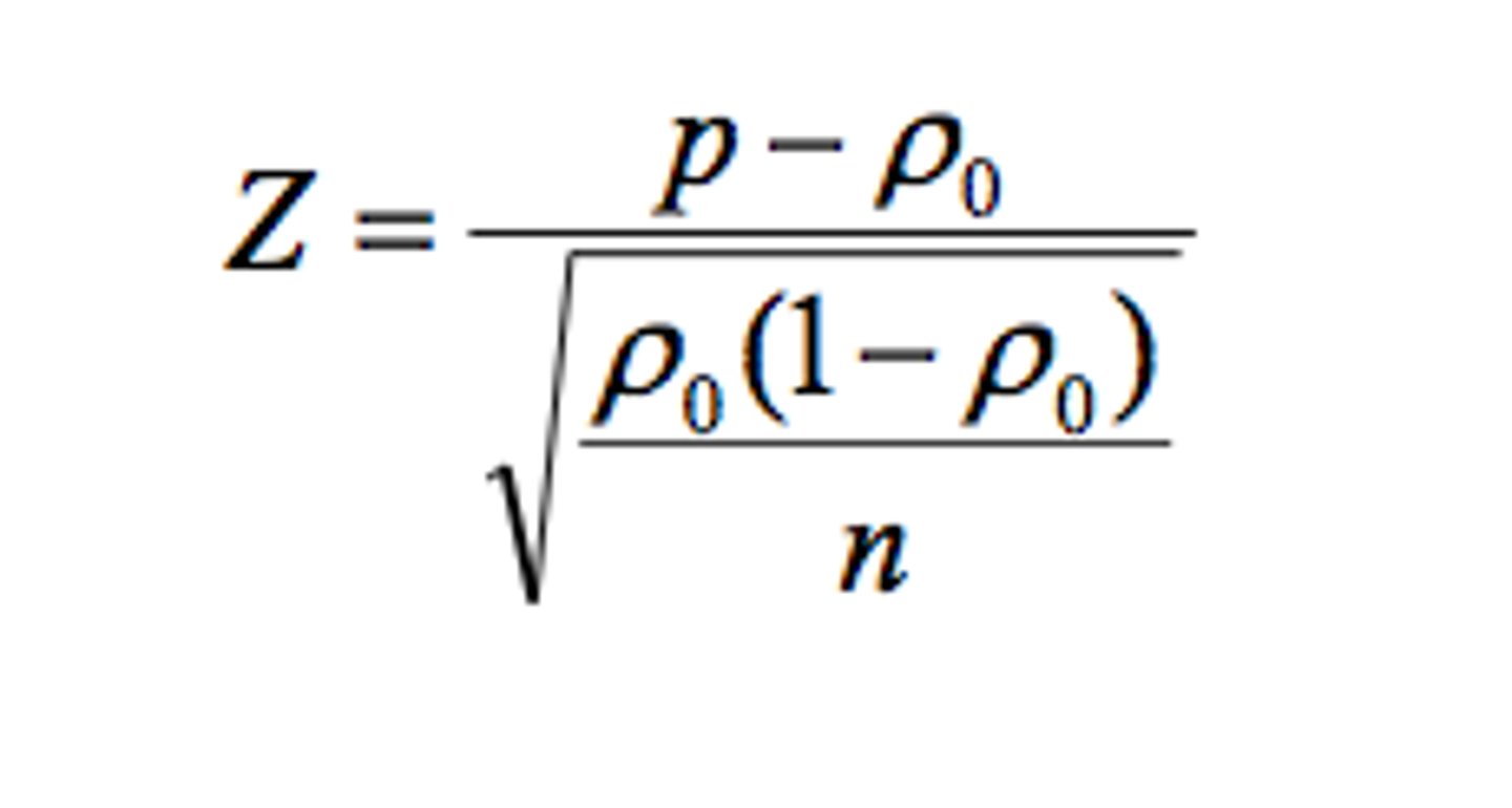
Single proportion test statistic formula
Whereas
p=observed population proportion
p0=hypothesized population proportion
q0=(1-p0) / complement of p0
n=sample size

p
Population porportion
^p
Observed population porportion
p0
Hypothesized population proportion
q0
Complementary of p0 (hypothesized population proportion)
What test is always used to test the hypotheses for single population proportions?
Z single proportion test
/p
Average proportion of the population
Calculated using
(X1+X2/n1+n2)
What test is always used to test the hypotheses for two-sample population proportions
Z two-sample proportion test
When is a chi-square test used?
To determine if there is an association/dependence of two nominal (or ordinal with limited set of categories (<10)) variables
What are characteristics of chi-square distribution?
Only positive
Df=(r-1)(c-1)
Can only be used to derive critical values (no P-value)
Null hypothesis for a chi-square test
There is no association/dependence between the two variables
Alternate hypothesis for a chi-square test
There is an association/dependence between the two variables
Expected frequency for chi-square test
The expected probability of two variables occuring (AnB) if both of those variables were independent from each other
Calculated using P(A) x P(B)
Observed frequency for chi-square test
The probability of two variables occuring together that was observed from the experiment
Degrees of freedom for chi-square test
(#rows - 1) x (#columns - 1)
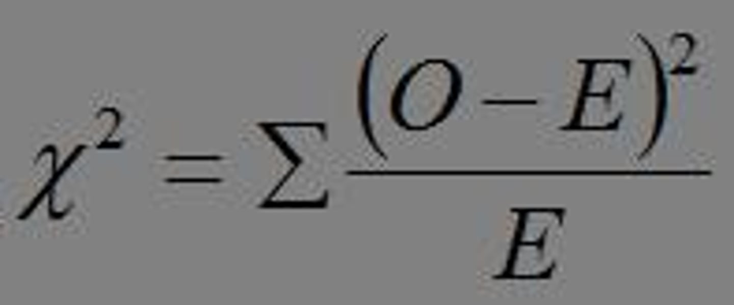
Chi-square test formula
Whereas
O= Observed frequency
E=Expected frequency
Repeat for each possible event

Oi
Observed frequency
Ei
Expected frequency
When is a chi-square test considered unreliable?
If the expected frequency in more than 20% of cells is <5
What are two alternatives to the chi-square test?
Yates Correction
Fishers exact test (most commonly used in course)
What test is equivalent to a 2x2 chi-square test?
Z-test for the equality of two proportions
Where
HA is P1 does not equal P2
H0 is P1 equals P2