1/13
Name | Mastery | Learn | Test | Matching | Spaced |
|---|
No study sessions yet.
Amino acid là gì
HCHC tạp chức, chứa -NH2 (amino), -COOH (carboxylic)
Glycine
NH₂-CH₂-COOH

Alanine (ALA)
CH₃-CH(NH₂)-COOH

Valine (VAL)
CH₃-CH(CH₃)-CH(NH₂)-COOH

Glutamic acid (Glu)
HOOC-(CH₂)₂-CH(NH₂)-COOH

Lysine (LYS)
NH₂-(CH₂)4-CH(NH₂)-COOH

Aspartic acid
HOOC-CHCH₂(NH2)-COOH

α-amino acid
-NH2 gắn vào C thứ 2 (-COOH và -NH2 gắn vào cùng 1C)
Dạng tồn tại chủ yếu amino aicd
ion lưỡng cực

Tồn tại ở dạng ion lưỡng cực nên amino acid
Phân cực mạnh, dễ tan trong nước, nhiệt độ nóng chảy cao
Tính chất điện di
amino acid di chuyển khác nhau trong điện trường tùy thuộc vào pH của môi trường
Glysine pH=1-2 di chuyển về
Cực âm
4 dạng Glutamic acid trong môi trường pH tăng dần

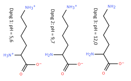
3 dạng lysine trong pH tăng dần
