1/35
Looks like no tags are added yet.
Name | Mastery | Learn | Test | Matching | Spaced | Call with Kai |
|---|
No analytics yet
Send a link to your students to track their progress
Fred is on a spaceship moving at 3 x 107 m/s (or 10% the speed of light).
Fiona is stationary on Earth. From Fiona’s perspective, how fast is time
passing for Fred while he is travelling in his spaceship?
(1) Time is moving at the same speed for Fred as it is for Fiona
(2) Time is moving more slowly for Fred than it is for Fiona
(meaning that Fred is aging more slowly than Fiona).
(3) Time is moving more quickly for Fred than it is for Fiona
(meaning that Fred is aging more quickly than Fiona).
(2) Time is moving more slowly for Fred than it is for Fiona
(meaning that Fred is aging more slowly than Fiona).
Laws of Physics Are the Same in All Perspectives
The laws of physics work exactly the same in every reference frame, whether you’re moving or stationary.
Speed of Light Is Constant
Light always travels at 3 × 10⁸ m/s, no matter how fast the observer or the source is moving.
3. Lorentz Transformation
The math required to change from stationary perspective to moving perspective

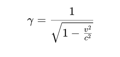
Relativistic Correction (γ — Gamma)
A factor that adjusts time, length, and momentum at high speeds.
Length Contraction
Objects moving at high speeds are measured to be shorter in the direction of motion from a stationary observer’s perspective.
Time Dilation
Time passes more slowly for a moving object compared to a stationary one.
(Moving clocks tick slower.)
Rest Mass (m₀)
The mass of an object when it is not moving relative to the observer.
Mass-Energy Equivalence
Mass and energy are connected.
The rest-mass energy is:
E0=m0c2
General Relativity
Einstein’s theory that gravity is not a force but a curving of space and time caused by mass and energy. (Effect on geometry)
Gravitational Lensing
Light bends when it passes near massive objects because gravity curves space.
This effect is important for accurate satellite signals.
Rest Mass (m₀)
The mass of an object when it is at rest relative to the observer.
Fred, on his spaceship, turns on a flashlight. From Fred’s perspective,
how fast is the light from the flashlight travelling? From Fiona’s
perspective on Earth, how fast is the light from the flashlight travelling?
Both measure the light traveling at 3×10^8m/s the speed of light is always constant
Fiona sees Fred’s spaceship flying by at that superfast speed. From
Fiona’s perspective, how long is the spaceship?
(1) Fiona measures the spaceship to be shorter than what Fred
measures
(2) Fiona measures the spaceship to be longer than what Fred
measures
(3) Both Fred and Fiona measure the spaceship to be the same length
(1) Fiona measures the spaceship to be shorter than what Fred
measures
Length contraction (moving objects are measured to be shorter from stationary observers.
T/F The laws of physics are the same in all perspectives, whether moving or stationary.
True
T'/F The speed of light depends on the motion of the observer.
FALSE
T/F Galilean transformations work perfectly for all speeds, including near light speed.
FALSE
T/F Lorentz transformations reduce to Galilean transformations at everyday speeds.
TRUE
T/F Time runs slower for a stationary observer compared to someone moving at high speed.
FALSE
T/F Length contraction means objects appear longer when moving.
FALSE
T/F An object’s resistance to acceleration increases as it approaches the speed of light.
TRUE
T/F Mass and energy are unrelated concepts in relativity.
(False: E = mc²)
T/F Gravity can bend light because it curves space-time.
TRUE
T/F General relativity is fully compatible with quantum mechanics.
FALSE
Which of the following is a postulate of special relativity?
a) Gravity is a force between masses
b) The speed of light is the same for all observers
c) Time is absolute
d) Mass increases linearly with speed
b) The speed of light is the same for all observers
What does γγ represent in relativity?
a) Gravitational constant
b) Speed of light
c) Lorentz factor for relativistic corrections
d) Newton’s second law
c) Lorentz factor for relativistic corrections
A spaceship travels at 90% of the speed of light. Which effect will NOT be observed?
a) Time dilation
b) Length contraction
c) Object moving faster than light
d) Increase in momentum
c) Object moving faster than light
The famous equation E=mc2E=mc2 shows that:
a) Energy and mass are equivalent
b) Energy depends on acceleration
c) Mass is constant in all frames
d) Momentum is zero at rest
a) Energy and mass are equivalent
Which phenomenon confirms general relativity?
a) Michelson-Morley experiment
b) Gravitational lensing
c) Photoelectric effect
d) Compton scattering
b) Gravitational lensing
Time moves slower for:
a) Objects at rest on Earth
b) Moving objects at high speed
c) Light waves
d) Observers in deep space
b) Moving objects at high speed
Length contraction occurs:
a) Perpendicular to motion
b) Along the direction of motion
c) Only for massless particles
d) For stationary objects
b) Along the direction of motion
Which of the following statements regarding Relativity is FALSE
The speed of light is measured to be slower for moving objects
Even though light doesn't have mass, it does have momentum and is affected by gravity
Mass and Energy warp the space and time around them
The laws of physics must be the same in all perspectives
There is always a certain amount of energy associated with an object's mass
The speed of light is measured to be slower for moving objects
T/F There has been no practical application of general relativity
False ( We have to include general relativity for our satelite to signal correctly)
T/F Even though light dosnt have mass, it does have momentum and can be affected by gravity.
true
T/F Lengths are shorter and time elapses more slowly for moving objects when measured by stationary observers
TRUE
T/F The laws of physics change depending weather something is moving or not.
FALSE( The laws of physics must be the same in all perspectives)