1/108
Looks like no tags are added yet.
Name | Mastery | Learn | Test | Matching | Spaced | Call with Kai |
|---|
No analytics yet
Send a link to your students to track their progress

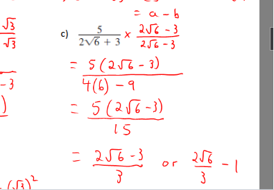
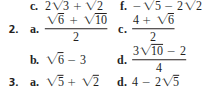
Simplify by rationalizing the denominator


Simplify by rationalizing the denominator


Simplify by rationalizing the denominator


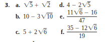
Rationalize the numerator of the expression


c) wrong




c) is wrong






look at pg 9 #6 (answer corrections too)





b) determine the equation of the tangent






do ade


do ac












pg 19 #23



a) calculate the average velocity of the pebble between the times 1 second and 3 seconds
b) calculate the average velocity of the pebble between the times 1 second and 1.5 seconds




a) what is the total cost of manufacturing 100 calculators
b) what is the rate of change in the total cost with respect to the number of calculators, x, being produced when x = 100








c) -20m/s












find the limit


findthe limit of each


do bef










do bcd
















do bcdf
b) is 1


do abde




a) does not exist
b) does not exist
c) does not exist
d) exists













do def








no



k = 6

































pg 56 #18

do ac










do def




VA






do def





