1/20
Looks like no tags are added yet.
Name | Mastery | Learn | Test | Matching | Spaced | Call with Kai |
|---|
No analytics yet
Send a link to your students to track their progress
Deoxyribonucleic acid (DNA) and ribonucleic acid (RNA)
long linear polymers called nucleic acids that are well suited to function as carriers of genetic information

nucleic acids
carry information in a form that can be passed from one generation to the next
the sequence of the bases constitutes a form of linear information
bases are unique
sugar and phosphates are the same

central dogma
the flow of genetic information from DNA to RNA to proteins
Steps:
1) DNA replication
2) Transcription
3) Translation

nucleotide
each monomer unit within the polymer
consists of a sugar, a phosphate, and one of four bases
a nucleoside joined to 1+ phosphoryl group


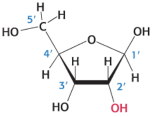
ribose
the 5 carbon sugar in RNA
the 2’-carbon atom of the sugar is linked to hydroxyl (-OH) group
makes it more reactive
hydroxyl group acts like a nucleophile

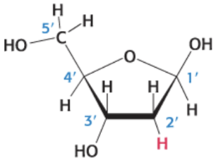
deoxyribose
the sugar in DNA
the 2’-carbon atom of the sugar is linked to a hydrogen atom
lacks hydroxyl group
more stable, less reactive
absence of 2’-OH increases resistance to hydrolysis

the backbone of DNA and RNA
consist of sugars linked by phosphodiester bridges
the 3’-OH of one sugar is esterified to a phosphate group which is joined to the 5’-OH of an adjacent sugar
consistent in a nucleic acid
each phosphodiester bridge has a negative charge
repels nucleophilic species that can hydrolyze the backbone
the bases of DNA and RNA
bases are attacked at 1’ carbon atom of the sugar
two of the DNA bases are derivative of purines = adenine (A) and guanine (G)
two of the DNA bases are derivatives of pyrimidines = cytosine (C) and thymine (T)
RNA contains the pyrimidine derivative uracil (U) instead of thymine (T)

purines
bases that contains two fused rings


pyrimidine
bases with one ring


why is size important when discussing base pairing?
preserves the distance between bases for the double helix

nucleoside
a unit consisting of a base bonded to a sugar
why are DNA molecules long?