1/34
Looks like no tags are added yet.
Name | Mastery | Learn | Test | Matching | Spaced | Call with Kai |
|---|
No analytics yet
Send a link to your students to track their progress
Why is the index of refraction always greater than or equal to 1?
Because it's defined to be c over v (n = c/v) , and the speed of light and vacuum, c is always greater than the speed of light in any other medium, which is v. Therefore, you have a fraction with the numerator bigger than the denominator ratio is bigger than 1
Will light change direction toward or away from the perpendicular when it goes from air to water? Water to glass? Glass to air?
Toward. Toward. Away. (are you going from a lower to a higher index of refraction. If you are, then it bends towards the normal. If it's the opposite, it bends away from the normal.)


Why is the front surface of a thermometer curved as shown?
It basically acts as a magnifying glass to magnify the mercury column.
Will the focal length of a lens change when it is submerged in water? Explain.
Yes, because there'll be more bending when it goes from air into glass. And less bending when it goes from water into glass, and therefore, it'll get stretched out.
Under what circumstances will an image be located at the focal point of a lens or mirror?
when the object is, so to speak, at infinity, or at least a very large distance, the image will form very close to the focal point.
What is meant by a negative magnification? What is meant by a magnification that is less than 1 in magnitude?
Negative magnification indicates that the image is inverted relative to the object, while a magnification less than 1 signifies that the image is smaller than the object.

Suppose a man stands in front of a mirror as shown in Figure 25.48. His eyes are 1.65 m above the floor, and the top of his head is 0.13 m higher. Find the height above the floor of the top and bottom of the smallest mirror in which he can see both the top of his head and his feet. How is this distance related to the man’s height?
Top mirror: (eye to floor) + (top head/2)
Bottom mirror: (eye to floor)/2
Top mirror - bottom mirror


Show that when light reflects from two mirrors that meet each other at a right angle, the outgoing ray is parallel to the incoming ray, as illustrated in the following figure.
Theta2 is 90 degrees minus theta 1.And so, 2 times theta 1 plus theta 2, taking it over the other side, would be 180 degrees

What is the speed of light in water (n = 1.33) ? In glycerine (n =1.473)?
use v= c/n for both


Calculate the index of refraction for a medium in which the speed of light is 2.012×10^8m/s, and identify the most likely substance based on Table 25.1.
use n = c/v. Polystyrene


Suppose you have an unknown clear substance immersed in water, and you wish to identify it by finding its index of refraction. You arrange to have a beam of light enter it at an angle of 45.0º, and you observe the angle of refraction to be 40.3º. What is the index of refraction of the substance and its likely identity?
Use n2 = n1sintheta1/theta2. Fused Quartz


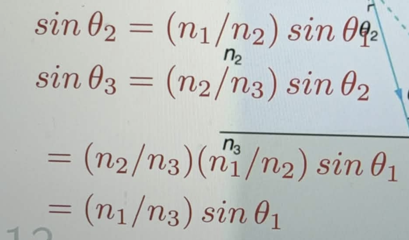
Figure 25.52 shows a ray of light passing from one medium into a second and then a third. Show that 𝜃3 is the same as it would be if the second medium were not present (provided total internal reflection does not occur).
Sine theta 2 will be the ratio of the refractive indexes times sine theta 1. And sine theta 3 will be the ratio of the second two refractive indexes times sine theta 2. Therefore, using the fact that sine theta 2 is this, plugging the formula for sine theta 2 into the formula for sine theta 3, we get this, and you'll find that the N2s cancel, and so you get N1 over N3. theta 1, as if it went straight from index, from medium 1 straight to medium 3.


A ray of light, emitted beneath the surface of an unknown liquid with air above it, undergoes total internal reflection as shown in Figure 25.53. What is the index of refraction for the liquid and its likely identification?
sintheta c = opposite/ hypotenuse(square root of opposite squared + adjacent squared)). Then get index of refraction of liquid by n2/n1 = 1 (air)/ sintheta c. Benzene

A camera lens used for taking close-up photographs has a focal length of 22.0 mm. The farthest it can be placed from the film is 33.0 mm. (a) What is the closest object that can be photographed? (b) What is the magnification of this closest object?
a) 1/dO = 1/f - 1/di
b) m = -di/do

Suppose your 50.0 mm focal length camera lens is 51.0 mm away from the film in the camera. (a) How far away is an object that is in focus? (b) What is the height of the object if its image is 2.00 cm high?
a) 1/dO = 1/f -1/di
b) m = -di/do
c) hO = hi/m

Suppose a 200 mm focal length telephoto lens is being used to photograph mountains 10.0 km away. (a) Where is the image? (b) What is the height of the image of a 1000 m high cliff on one of the mountains?
a) 1/di = 1/f - 1/do
b) m = -di/do; hi= mho

What is the focal length of a makeup mirror that produces a magnification of 1.50 when a person’s face is 12.0 cm away? Explicitly show how you follow the steps in the Problem-Solving Strategy for Mirrors.
di = -mdo then use 1/f = 1/di + 1/do to find f

A shopper standing 3.00 m from a convex security mirror sees his image with a magnification of 0.250. (a) Where is his image? (b) What is the focal length of the mirror? (c) What is its radius of curvature? Explicitly show how you follow the steps in the Problem-Solving Strategy for Mirrors.
a) di = -mdo (- means behind mirror)
b) f= (1/di + 1/do)^-1
c) r = 2f

The picture on the right is of a reflecting radio telescope at Stanford University. Does it look like you could see your face in it? If not, why might it work as a reflector?
Because the imperfections have to be only smaller. Then a quarter of the wavelength, and radio waves have wavelengths in the meters, tens of meters, hundreds of meters, and so the imperfections can be several feet in size.
If a telescope with focal length 30 cm “sees” an object taking up 2◦ of its view, how big is the image in the telescope?
use s = theta/180 degrees x pi x f

If an object makes an image that’s 0.5 mm on your retina, how many degrees of your view does it occupy?
theta = height / near point (.3)

When you zoom into an object optically with your camera (not electronic zoom), does the lens extend or contract? Why?
Because you want to increase the effective focal length of the lens system
Why is a ground-based x-ray telescope not a great idea?
X-rays don't get through the atmosphere, therefore you can't really do much useful astronomy with a ground-based X-ray telescope.
What is the resolution in seconds of telescope with a 0.5 m diameter lens at visible light?
use angle resolution = 1.22 × 180 degrees/pi x wavelength/diameter

Some telescopes are dual-purpose: they detect visible light and infra-red. Were the telescope in the question above capable of this, would it have higher resolution in infra-red or lower (compared to visible light)?
Bigger theta res means lower resolution. For the longer the wavelength, the lower the resolution.
What diameter lens do you need on a telescope that can resolve up to a thousandth of a second?
D= 1.22lambda/theta (theta : arcsec /3600 x (pi/180 degrees))

A magnifying glass is rated at 3.5 magnification for normal eyes that are focused on an image at the near point. What is its focal length? What would the focal length be if the magnification referred to a relaxed eye?
f = N/M -1 then f = N/M where N is the near point (25 cm for normal eyes) and M is the magnification.

The formula for the angles at which constructive interference occurs (crests reinforce crests) when light passes through two slits is sin θ = m λ d , m = 0, 1, 2, 3 . . . where d is the spacing between the slits and λ the wavelength. Do you expect the bright bands to get more closely spaced or less when d is very large compared to λ?
D is very large compared to the wavelength, sine theta will be small, which means theta will be small, therefore they're more closely spaced.
In a double slit experiment to you expect closer spacing of the bright bands for (i) red wavelengths, OR (ii) blue wavelengths?
The wavelength has to be smaller, and if lambda is smaller for blue wavelengths, then you get closer spacing.
Diffraction effects when a wave hits an obstacle are most pronounced when the wavelength is of comparable size or larger than the obstacle. Sound waves have wavelengths of feet or meters. Might this explain why when someone is around a corner you can hear but not see her/him?
Sound waves bend around obstacles more, therefore you can hear around an obstacle, but visible light, having a shorter wavelength, you cannot see. It doesn't bend enough for you to see around an obstacle.
What are the best reasons you can think of to view light as (i) a wave, and (ii) a particle?
Wave diffraction interference are the two important things. Particle picture cannot explain those. Particle for Photoelectric effect is the key thing.
You expect destructive interference between two waves (crests of one coincide with troughs of the other) when they are shifted with respect to each other by (i) one wavelength? OR (ii) half a wavelength?
Destructive interference when they're out of step, therefore half a wavelength out of step.
Show that when light passes from air to water, its wavelength decreases to 0.750 times its original value.
given n1lambda1 = n2lambda 2 → 1lambda 1 = 1.33 lambda 2 then lambda 2 = .75 lambda 1

What is the index of refraction of a material for which the wavelength of light is 0.671 times its value in a vacuum? Identify the likely substance.
use n1 lamda 1 = n2 lambda 2 → n2 = 1/.671. Polysterene

(a) Calculate the angle at which a 2.00-μm-wide slit produces its first minimum for 410-nm violet light. (b) Where is the first minimum for 700-nm red light?
Use theta = sin^-1( wavelength/slit width) for both a and b
