1/35
Looks like no tags are added yet.
Name | Mastery | Learn | Test | Matching | Spaced | Call with Kai |
|---|
No analytics yet
Send a link to your students to track their progress

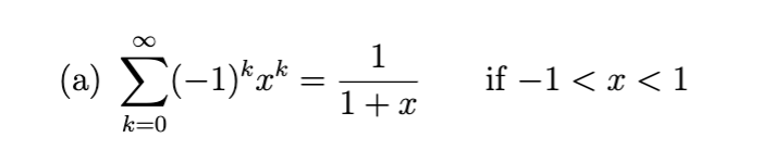
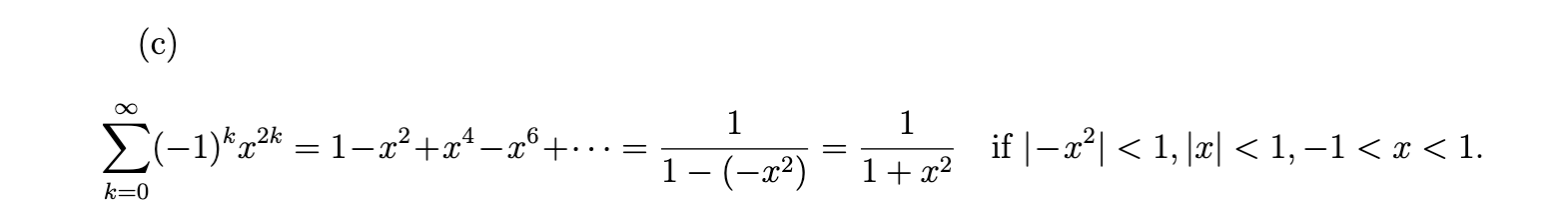
use geometric series to show that:


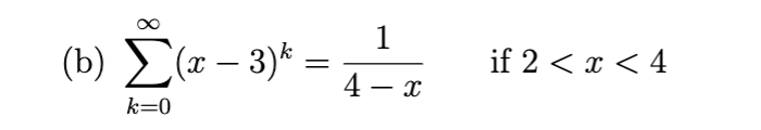
use geometric series to show that:


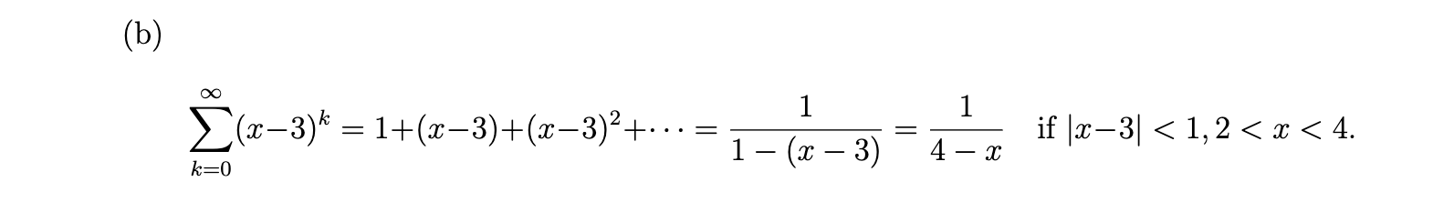
use geometric series to show that:


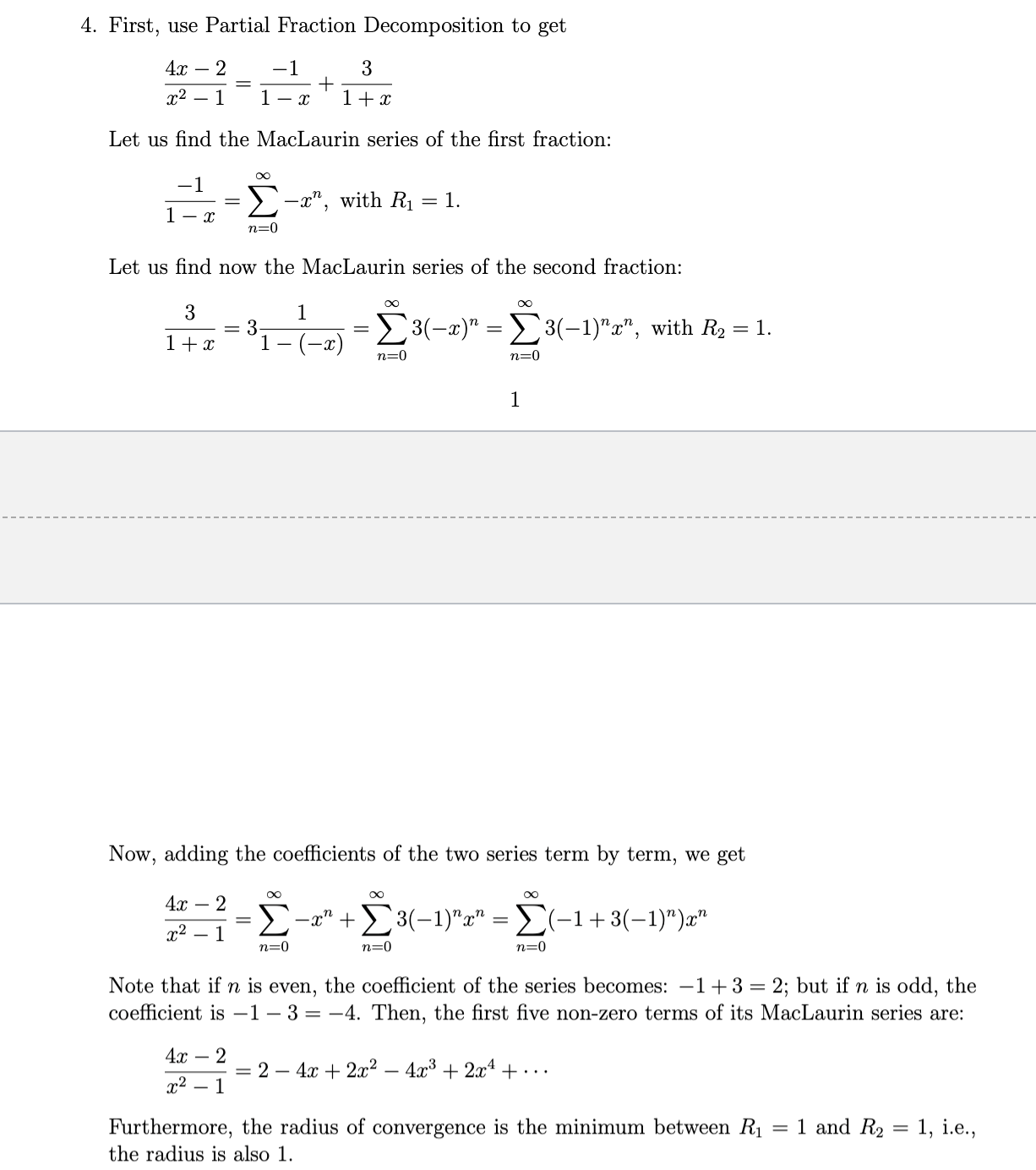
find all values of x for which the series converges, and find the sum of the series for those values of x

find all values of x for which the series converges, and find the sum of the series for those values of x


find all values of x for which the series converges, and find the sum of the series for those values of x


Find the interval of convergence of the power series, and find a familiar function that is represented by the power series on that interval.


Find the interval of convergence of the power series, and find a familiar function that is represented by the power series on that interval.








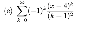
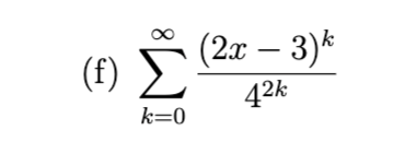
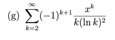
Find the radius of convergence and the interval of convergence


Find the radius of convergence and the interval of convergence


Find the radius of convergence and the interval of convergence


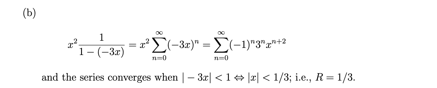
Find the radius of convergence and the interval of convergence


Find the radius of convergence and the interval of convergence


Find the radius of convergence and the interval of convergence


Find the radius of convergence and the interval of convergence


Find the radius of convergence and the interval of convergence

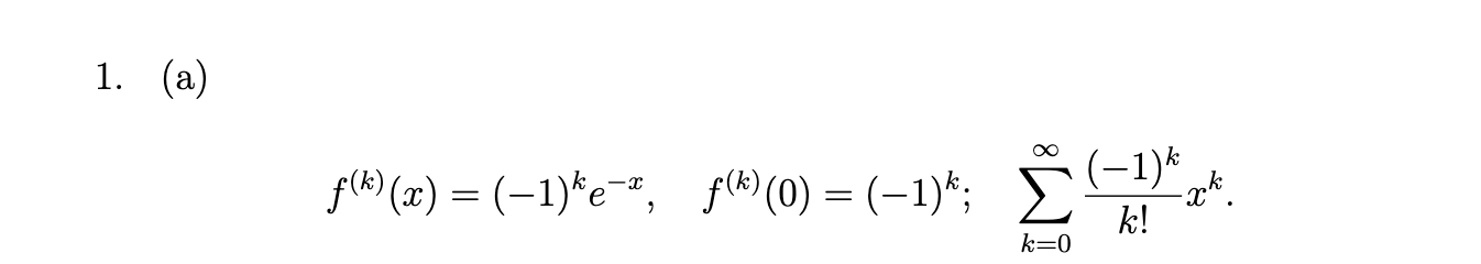
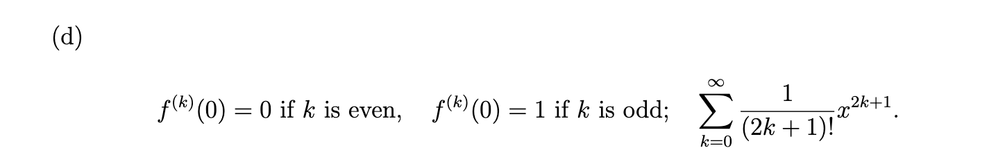
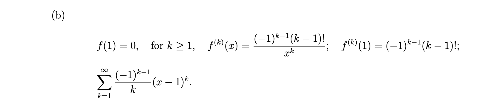
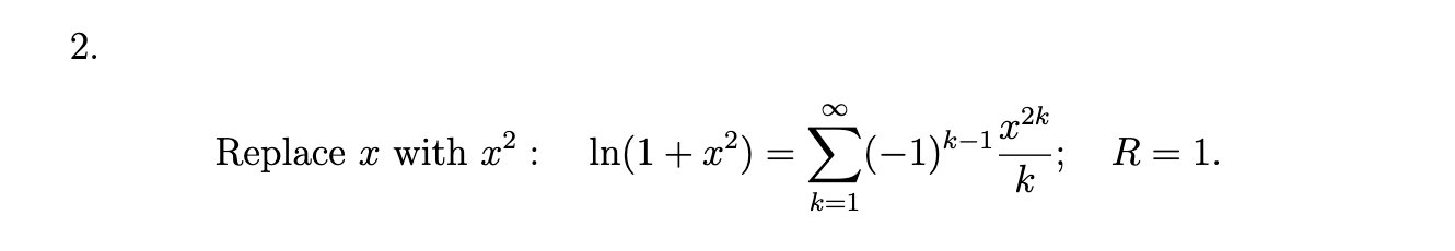
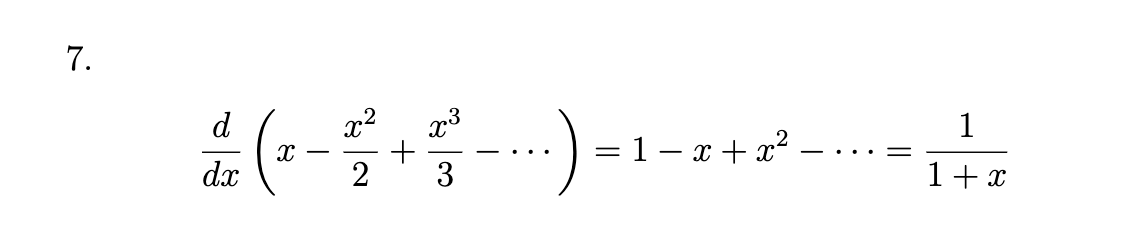
Use sigma notation to write the MacLaurin series for the function.


Use sigma notation to write the MacLaurin series for the function.


Use sigma notation to write the MacLaurin series for the function.


Use sigma notation to write the MacLaurin series for the function.


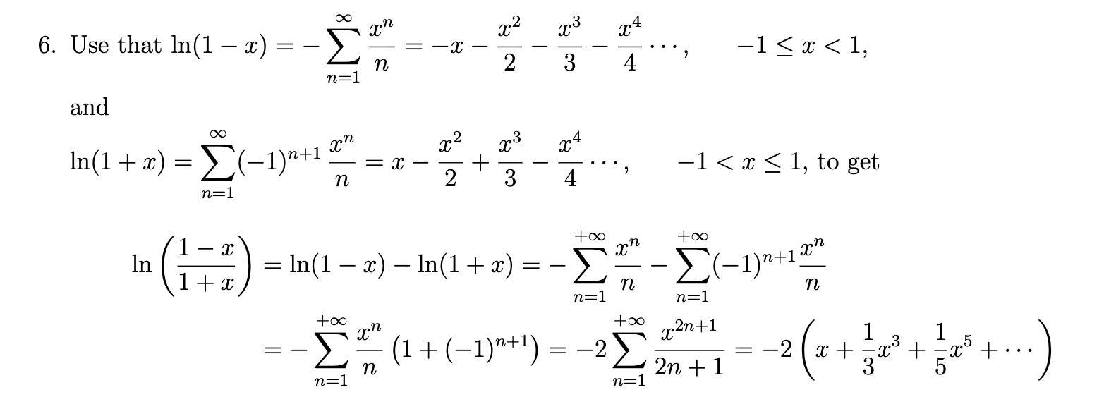
Use sigma notation to write the Taylor series about x = x0 for the function


Use sigma notation to write the Taylor series about x = x0 for the function






(a)


(b)


(c)












