1/7
MH Wk1 Quiz
Name | Mastery | Learn | Test | Matching | Spaced | Call with Kai |
|---|
No analytics yet
Send a link to your students to track their progress

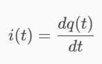
Determine the current flowing through an element if the charge flow is given by the following equation: q(t) = 24sin (120πt) pC
The current i flowing through the element is ____πcos (120πt) pA.
i = 2880πcos(120πt) pA


The current flowing past a point in a device is shown in the given figure, where A = 16. Calculate the total charge through the point.
The total charge through the point is _____ μC.
24 μC


The voltage v(t) across a device and the current i(t) through it are v(t) = 28cos(2t) V, and i(t) = 29(1 − e−0.5t) mA.
Calculate the power consumed by the device at t = 1 s, in mW.
-132.96 mW


The figure below shows a circuit with five elements. If p1 = –225 W, p2 = 80 W, p4 = 65 W, and p5 = 50 W, calculate the power p3 absorbed by element 3.
The power p3 absorbed by element 3 is ____W.
30 W


A utility company charges 6.2 cents/kWh. If a consumer operates a 60-W light bulb continuously for one day, how much is the consumer charged in cents?
8.928 cents or 8.93 cents


Consider the circuit in the given figure. Assume R1 = 170 Ω and R2 = 340 Ω.
Calculate the current i, in mA, from the given figure when the switch is in position 2.
78.43 mA


For the network graph shown in the given figure, find the number of nodes, branches, and independent loops.
The number of nodes present in the given network graph is ____.
The number of branches present in the given network graph is ____.
The number of independent loops present in the given network graph is ____.
7, 12, 6

Find the resistance across terminals a-b (Rab) by reducing the circuit to a single resistor. Assume R = 40 Ω.
Rab= 21.33 Ω
