1/10
Looks like no tags are added yet.
Name | Mastery | Learn | Test | Matching | Spaced | Call with Kai |
|---|
No analytics yet
Send a link to your students to track their progress
1/x
smallest
log x
smaller
x
basic
x2
big
2x
Bigger
XX
biggest
Pre-defined Rules

F(x)=1/x

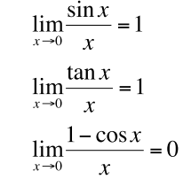
Sinx/x infinity

VA 1/x
