1/33
Looks like no tags are added yet.
Name | Mastery | Learn | Test | Matching | Spaced | Call with Kai |
|---|
No analytics yet
Send a link to your students to track their progress
d/dx (sin x)
cos x
d/dx (cos x)
-sin x
d/dx (tan x)
sec2x
d/dx (cot x)
-csc2x
d/dx (sec x)
secxtanx
d/dx (csc x)
-cscxcotx
d/dx (a ⋅ xn)
naxn-1
d/dx (ex)
ex
d/dx (sin-1x)

d/dx (cos-1x)

d/dx (tan-1x)

d/dx (ln x)

d/dx (logbx)

d/dx (k)
0
d/dx (f(x) ⋅ g(x))
f(x)g’(x) + g(x)f’(x)
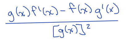
d/dx [f(x)/g(x)]

d/dx (f(g(x)))
f’(g(x)) ⋅ g’(x)
d/dx (ax) where a is a constant

∫aun ⋅ du

∫0 ⋅ du
c
∫du
u + c
∫1/u ⋅ du
ln |u| + c
∫eu ⋅ du
eu + c
∫ln u ⋅ du
u ln u - u + c
∫cos u ⋅ du
sin u + c
∫sin u ⋅ du
-cos u + c
∫sec2u ⋅ du
tan u + c
∫csc2u ⋅ du
-cot u + c
∫tan u ⋅ sec u ⋅ du
sec u + c
∫cot u ⋅ csc u ⋅ du
-csc u + c
∫tan u ⋅ du
-ln |cos u| + c
∫sec u ⋅ du
ln |sec u + tan u| + c

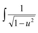
tan-1u + c

sin-1u + c