1/23
Looks like no tags are added yet.
Name | Mastery | Learn | Test | Matching | Spaced | Call with Kai |
|---|
No analytics yet
Send a link to your students to track their progress
What is the formulae to find any term of an arithmetic sequence?

What is the formulae to find any term of a geometric sequence?

What does sec²x =?

What does sin2x =?

What are the three possible answers for cos2x?

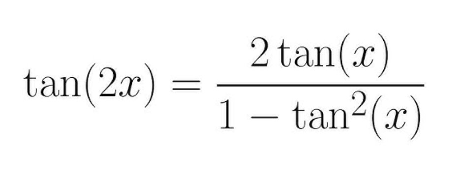
What does tan2x =?

How to calculate the mean of a data set?

How to calculate the standard Normal variable?

How do you calculate the arc length of a sector? (radians)

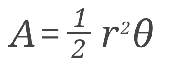
What is the formulae to calculate the area of a sector? (radians)

What is the derivative of sin(kx) ?
kcos(kx)
What is the derivative of cos(kx) ?
-ksin(kx)
What is the derivative of ekx ?
kekx
What is the derivative of ln(x) ?

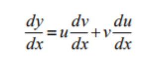
What is the chain rule?

When should you use the chain rule?
When finding the derivative of a function of a function.
e.g (2x+5)5 , e3x , sin(x4)
What is the product rule?

When should you use the product rule?
To find the derivative of a function that is the product of two or more, functions that can be differentiated.
e.g x²sin(x) , exln(x)
How to integrate cos(kx) ?

How to integrate sin(kx) ?

How to integrate ekx ?

How to integrate 1/x ?

What is the equation for friction max?
