1/32
Looks like no tags are added yet.
Name | Mastery | Learn | Test | Matching | Spaced | Call with Kai |
|---|
No analytics yet
Send a link to your students to track their progress

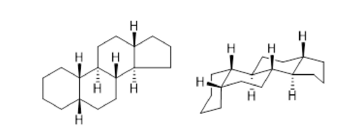
5-à Gonane

5-B Gonane

Estrane

Trilostane

Mifepristone

Spironolactone

11-doxycorticosterone

Fludrocortisone acetate

Clobestasol propionate

Flunisolide

Fluticasone propanoate

Budesonide

Beclomethasone dipropanoate

Triamcinolone acetonide

Triamcinolone

Dexamethasone

Betamethasone

Methyl prednisolone

Prednisolone

Prednisone

Hydrocortisone

Cortisone

Aldosterone

Cholesterol

Progesterone

Testosterone

Estrogen

Cholestane

Pregnane

Androstane

Cholane

Metyrapone

Momentasone furoate