1/30
Looks like no tags are added yet.
Name | Mastery | Learn | Test | Matching | Spaced | Call with Kai |
|---|
No analytics yet
Send a link to your students to track their progress
Optics degree flow chart
“Quit Coughing, Dude! For The Absolute Peace of God.”

Geometric optics fundamentals

Physical optic fundamentals

What does snall’s law represent?
Paraxial optics (first order optics) of a single refracting surface
Snell law formula

What does the small angle approximation of Snell’s law say?
Small-angle approximations apply to Snell’s law: sin𝜃≈𝜃, cos𝜃≈𝜃, tan𝜃≈𝜃 in radians.

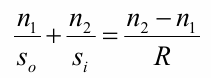
What does the thin lens equation represent?
the relationship between object distance, image distance & focal length of a refracting surface or lens
Thin lens equation

In thin lens, when is the image a real image vs. a virtual image?
Real image if it is on the right of the lens. Virtual image if it is in the left of the lens.
What does the thin lens maker’s equation represent?
relationship between the focal length (power) of a refracting surface or lens with its geometry & refractive index
Thin lens maker’s equation

What category of optics do thin lens equations represent?
Paraxial optics (First-order optics)
Index of refraction formula
Ratio of speed of light in air (vacuum) to medium (>1)
What equation represent light refraction?
Snell’s law
What is the index of refraction dependent on?
Speed of light in the medium. Speed of light = (frequency)(wavelength). Therefor, wavelength dependency.
n = n(λ): Chromatic aberration
Average index of refraction of ocular components
1.376
Index of refraction of keratometric
1.3375
Law of reflection
angle of incidence = law of reflection
Reflectance definition & it’s dependencies
The amount of light reflected at an optical surface. It depends on angle of incidence & refractive indices.
Brewster angle definition
Angle of incidence at which no polarized light is reflected

The amount reflected for normal incidence is dependent…
the index difference at each optical surface
What is the formula for determining the reflectance for normal incidence of light?
Fresnel’s formula!

What is S & P polarization?

What is the formula for determining the reflectance unpolarized light?

What is the percent reflectance of the ocular interface between air & tear film? Which purkinje image is does this represent?
2.2941% & Purkinje image I
Transmittance of light through ocular components experiences light loss due to?
reflection, absorption & scatter
Index matching definition
When two optical medias with the same optical index are put together to form an optical interface, the optical interface will have no optical impact.

What is oil-immersion microscopy an application of?
index matching
Tip vs. Tilt of a refracted light rays
Tip: rotation about the x-axis (pitch)
Tilt: rotation about the y-axis (yaw)
How to fix of the desired path of light ray entering an irregular shaped cornea?
We can adjust the entering rays local tip & tilt at the surface of the surface of the cornea & direct the light ray to its intended location.
What information is needed in order to perform optical ray tracing?
Surfaces, thickness & refractive indices