1/86
Looks like no tags are added yet.
Name | Mastery | Learn | Test | Matching | Spaced | Call with Kai |
|---|
No analytics yet
Send a link to your students to track their progress
What limits particles being detected?

How to treat particles in detectors?

Properties of particles that can be measured.

How do photons interact with matter?

Photoelectric effect

Compton effect (do not learn the formuals!!)

Pair production

Bremsstrahlung
Full calculation of radiation effects in complex and involves shell effects. Denser material, shorter radiation length. The coupling is proportional to Z, so squared in FGR to get Z² factor.

Interaction of charged particles with solid
Charged particles interact EM with nuclei and electrons
Electrons are light compared to the incoming particle - the particle will “kick” electrons out of the way —> ionisation/excitation
Transfers energy to the electron. High density of charges results in quasi-continuous energy loss
Nuclei are heavy so mostly elastic collisions. Will deflect the trajectory of the particle.
Bethe-Bloch equation (just qualitatively!)

Range of charged particles in a material

Cherenkov radiation

Multiple scattering

Hadronic interactions

Number of ionisation pairs created in a length of detector material

Fano factor

To detect ionization charge

Ramo’s theorem

Drift in gases

Ion drift

Electron drift

Diffusion equation for ensemble of drifting charge carriers


Drift in magnetic fields

Drift in liquids
Easiest is noble gases (but need to cryogenic).
Need a liquid which wont absorb the electrons —> low electron affinity

Drift in semiconductors

Internal amplification

Amplification in gases


Photomultiplier tubes
Photocathode has very low work function.
Doesnt have 100% efficiency => can’t measure single photones.
Dynodes amplify the number of electrons so get a big signal
Must be in a vacuum
Do not work well in a magnetic field => wrap in soft iron. Magnetic field would deflect electrons so don’t reach dynodes.

Scintillators
Organic scintillators => standard cheap detector. Response in molecule very fast.
Inorganic scintillators => much more dense, so stop particles in short distance but they are slower (due to time required for thermalisation of charge carriers.

Scintillation in liquids (e.g. argon)

Photon collection

Resistive plate chambers (RPCs)

Wire chambers

Multiwire proportion chambers

Micropattern gas detectors
Reduce instability and dimensional issues by mounting electrodes on an insulating substrate
However issue where some charges stick to surface and a spark destroys the detector
Solution is to reduce local gas gain by introducing additional amplification structures
Gas electron multiplier and micromegas

Drift chambers



Photon detection with gaseous detectors

Liquid TCPs

Amplification in liquids

Photon detection in liquids

Semiconductors

p-n junction


Leakage current

Silicon pixel detectors

Monolithic active pixel sensor (MAPS)

Silicon detectors with gain

Momentum measurements

Multiple scattering in detector layers

What are calorimeters?

EM showers

Resolution of a calorimeter

Sampling calorimeter

Hadronic showers

Particle flow in hadronic calorimeters

Particle identification

Time of flight (TOF)

Cherenkov detectors


Ring-imaging Cherenkov detectors (RICH)
Linear vs circular accelerator

Bremsstrahlung in circular accelerators

Electron sources

Muon sources
Accelerating muons boosts their lifetime in the lab frame

Neutrino beams

Generating antiprotons

Optimal cavity mode for accelerators

Cavity optimisation

Phase stability

Bending magnets in accelerator

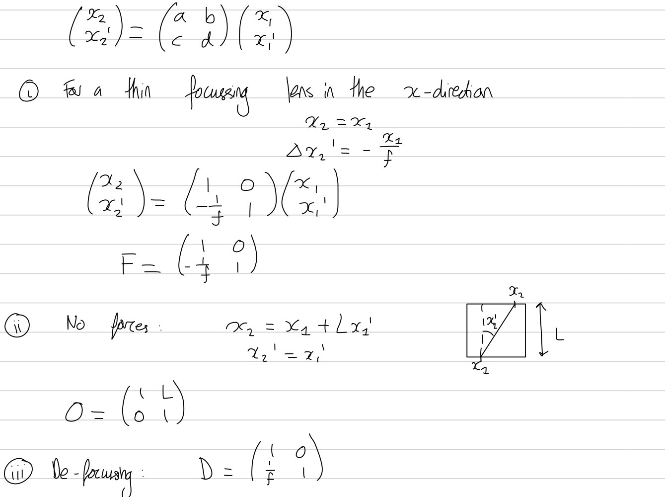
Focusing (weak and strong)


Strength of quadrupole

Luminosity


Interaction point

Measuring luminosity

Resolution for an EM calorimeter

Poisson equation

Explanation of silicon micro-strip detector

Uncertainty in detector divided into detecting strips width x

Useful to remember when converting uncertainties (differentials identity)

Drift chamber explanation

Ramo’s theorem

Electric field in concentric cylinders

Capacitance for cylindrical capacitor (per unit length)

Maxwell equations



Area of any conic section (eg ellipse)

Babha scattering
