1/28
Looks like no tags are added yet.
Name | Mastery | Learn | Test | Matching | Spaced | Call with Kai |
|---|
No analytics yet
Send a link to your students to track their progress
polar coordinates
every point can be represented either with rectangular coordinates (x,y) or polar coordinates (r,θ)
polar to rectangular (y-axis)
y=r(sinθ)
polar to rectangular (x-axis)
x=r(cosθ)
Rectangular to polar
tanθ=y/x
rectangular to polar
r²=x²+y²
polar function r=f(θ) consists of ordered pairs (r,θ)
where input values are angle measures θ and out put values are radi r
polar graph circle (x-axis)

polar graph circle (y-axis)

what is “a” in a circle graph equation

polar graph rose (y-axis)

polar graph rose (x-axis)

what is the difference when n is even vs when n is odd? (rose polar graph)

polar graph limacon (x-axis)

polar graph limacon (y-axis)

what happens when a<b (limacon polar graph)

what happens when a>b (limacon polar graph)

what happens when a=b (limacon polar graph)

polar graph lemniscate (x-axis)

polar graph lemniscate (y-axis)





Multiplying complex #'s in polar form

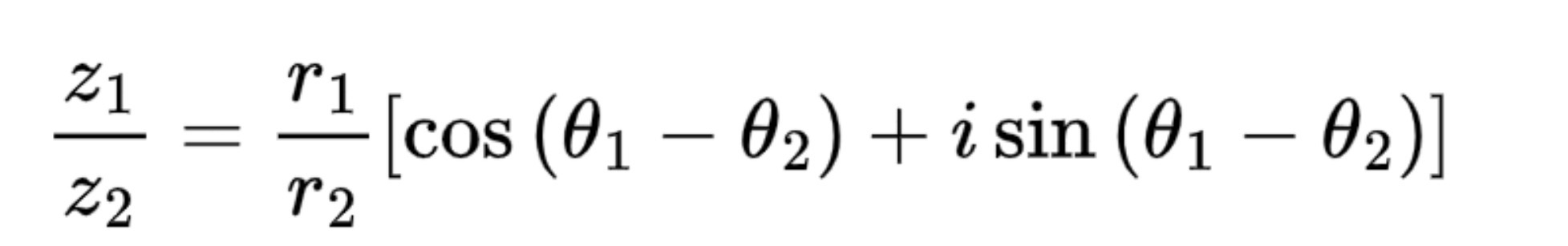
Dividing complex #'s in polar form

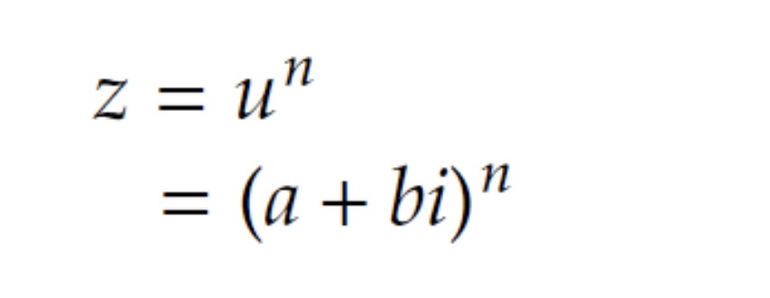
Demoivre'S theorem

Roots of complex # ‘s( nth root)

Roots of complex # equation

Complex plane

Absolute value of a complex plane
Used to find distance between origin & point (A, B)

Trigonometric/polar equation
