1/10
Looks like no tags are added yet.
Name | Mastery | Learn | Test | Matching | Spaced | Call with Kai |
|---|
No analytics yet
Send a link to your students to track their progress
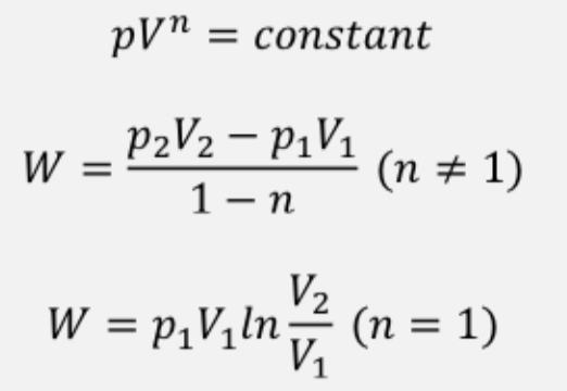
Provide the mathematical expression for a polytropic process and the work done by a polytropic process for any exponent n from memory

Provide the energy balance form and the energy rate balance form of the 1st Law of TD for a closed system from memory

Provide the thermal efficiency equation of a power cycle from memory

Provide the coefficient of performance equation of a refrigeration and heat pump cycle from memory

Provide the conservation of mass equation for a Control Volume from memory

Provide the Ist Law of TD for a Control Volume from memory

List 5 examples of inexenibilitie, from memory
1. Heat transfer through finite temperature difference
2. Unrestrained expansion of a gas or liquid to a lower pressure
3. Spontaneous chemical reaction
4. Friction – sliding friction as well as friction in the flow of fluids (viscosity)
5. Inelastic deformation
6. Spontaneous mixing of matter at different compositions or states
7. Electric current flow through a resistance
8. Magnetization or polarization with hysteresis
Provide the maximum thermal efficiency equation for a power cycle by memory.

Provide the maximum coefficient of performance equations for a refrigerator and heat pump by memory.

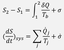
Provide the entropy balance form and the entropy rate balance form of the of the 2nd Law of TD for a Closed System from memory

Provide the 2nd Law of TD for Control Volumes from memory
