1/89
Looks like no tags are added yet.
Name | Mastery | Learn | Test | Matching | Spaced |
|---|
No study sessions yet.
What is a differential equation
An equation involving a derivative. Its a relation between a function and its derivatives (September 3, 1.1) (Exam 1 Material)
What does the order of a differential equation refer too
The highest derivative in the entire equation (September 3, 1.1) (Exam 1 Material)
What is a general solution
Like a family of solutions. Does not refer to one single solution (September 3, 1.1) (Exam 1 Material)
If you have a constant equal to x, is y(x) truly a solution to the equation
No. Because y(x) is not a solution on a given interval, only at 1 point (September 3, 1.1) (Exam 1 Material)
How do you solve a differential equation in the form dy/dx = f(x)
Integrate f(x)dx and add a constant C. (September 5, 1.2) (Exam 1 Material)
2nd order differential equations require how many initial conditions to arrive at a particular solution?
2 (September 5, 1.2) (Exam 1 Material)
Position, velocity, and acceleration share what relationship
a(t) = v’(t) = x’’(t) (September 5 1.2) (Exam 1 Material)
Summarize the Existence and Uniqueness Theorem.
Continuity of f(x,y) on a rectangle R guarantees the existence of the solution.
Continuity of the partial derivative of f(x,y) with respect to y on Rectangle R guarantees the uniqueness (only one solution) of the solution (September 8, 1.4)
(Exam 1 Material)
Separation of variables can be used when
y’ = f(x)g(y) (September 8, 1.4) (Exam 1 Material)
Implicit General Solution
A solution to a differential equation where integration was completed but y was not solved for. (September 8, 1.4) (Exam 1 Material)
Explicit General Solution
A solution to a differential equation in the form y = f(x). y = something (September 8, 1.4) (Exam 1 Material)
What is the general form of a first order linear equation
(September 10, 1.5) (Exam 1 Material)

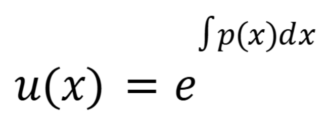
Integrating Factor Formula
(September 10, 1.5) (Exam 1 Material)

Other formula related to integrating factoring
(September 10, 1.5) (Exam 1 Material)

What is the general form of a homogenous 1st order differential equation.
(September 12, 1.6) (Exam 1 Material)


If this equation is a homogenous 1st order differential equation, what must be true.
The degree of each term in P and Q are the same. (September 12, 1.6) (Exam 1 Material)
What substitution must you make to solve a homogenous 1st order differential equation
Note, V is a function of x. (September 12, 1.6) (Exam 1 Material)

If you simplify a homogenous 1st order differential equation correctly, what other type of equation should result
A separable differential equation (September 12, 1.6) (Exam 1 Material)
What is the general form for Bernoulis’s Equation
n does not have to be an integer (September 12, 1.6) (Exam 1 Material)

What substitution must you make to solve a Bernoulis’s Equation problem
When solving these problems, remember to only have y and x in your final answer. (September 12, 1.6) (Exam 1 Material)

If you simplify a Bernoulis’s equation correctly, what other type of equation should result
1st order linear differential equation (September 12, 1.6) (Exam 1 Material)
What is the general form of exact equations
(September 15, 1.6) (Exam 1 Material)

What must be true for an equation to be exact.
(September 15, 1.6) (Exam 1 Material)

When you take the partial derivative of M, in an exact equation. what do you take it with respect to
Y (September 15, 1.6) (Exam 1 Material)
When you take the partial derivative of N, in an exact equation. what do you take it with respect to
X (September 15, 1.6) (Exam 1 Material)
If y is absent in a reducible 2nd order differential equation, then what substitution must you make.
p = y’ and p’= y’’ (September 17, 1.6) (Exam 1 Material)
If x is absent in a reducible 2nd order differential equation, then what substitution must you make.
(September 17, 1.6) (Exam 1 Material)

What’s the general form of a logistic equation
(September 22, 2.2) (Exam 2 Material)

When solving equilibrium solutions and stability problems, what must you show.
The critical points
Intervals for which dx/dt is positive and negative
Phase diagrams, indicating stability and positives and negatives
Solution curves with x usually as the vertical axis and t usually as the horizontal axis
(September 22, 2.2) (Exam 2 Material)
When drawing phase diagrams, when is a critical point stable
Goes from positive to negative. Goes from » to «. (September 22, 2.2) (Exam 2 Material)
When drawing phase diagrams, when is a critical point Unstable
Goes from negative to positive. Goes from « to » (September 22, 2.2) (Exam 2 Material)
When drawing phase diagrams, when is a critical point semi-stable
Does not change signs. Stays positive or stays negative. (September 22, 2.2) (Exam 2 Material)
General form of a 2nd order linear differential equation
(September 24. 3.1) (Exam 2 Material)

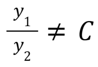
How do you determine if two functions are linearly independent solutions
If there ratios are NOT a constant, then they are linearly independent. (September 24. 3.1) (Exam 2 Material)

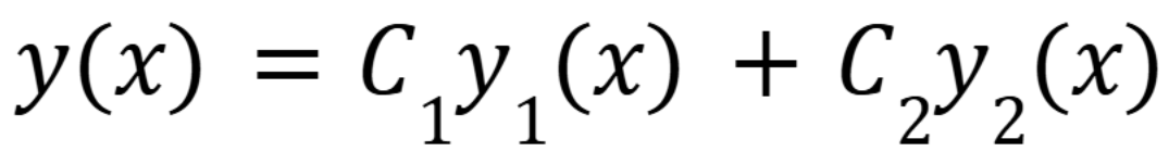
General form for finding two constants of a 2nd order linear differential equation
(September 24. 3.1) (Exam 2 Material)

What’s the general form of a 2nd order linear differential equation with constant coefficients.
(September 26. 3.1) (Exam 2 Material)

How do you solve 2nd order linear differential equations with constant coefficients when there’s two distinct real solutions
Use y = erx. Use y(x) = C1y1 + C2y2 and set ar2+br+c=0. Find r1 and r2 (September 26. 3.1) (Exam 2 Material)
How do you solve 2nd order linear differential equations with constant coefficients when there’s 1 real solution
Use y = (C1+C2x)erx (September 26. 3.1) (Exam 2 Material)
What substitution must you make when solving Euler’s equations
V = lnx. And note y = y(v). (September 26. 3.1) (Exam 2 Material)
For an n-th order homogenous differential equation with constant coefficients, what is the general solution
(October 1. 3.3) (Exam 2 Material)

If a real root r is repeated m times (the multiplicity is m) , in an n-th order homogenous differential equation with constant coefficients, how many terms must be in that factor
m terms (October 1. 3.3) (Exam 2 Material)
What is the general solution of a n-th order homogenous differential equation with constant coefficients with imaginary roots.
(October 3. 3.3) (Exam 2 Material)

What is the form of the differential equation for a mass-spring system.
(October 6. 3.4) (Exam 2 Material)

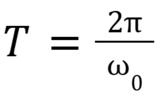
What equation relates the period T and omega.
(October 6. 3.4) (Exam 2 Material)

What equation relates frequency and omega.
(October 6. 3.4) (Exam 2 Material)

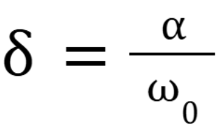
What equation relates the time lag, delta, and alpha and omega.
(October 6. 3.4) (Exam 2 Material)

What is the equation for position as a function of time for a mass-spring system
(October 6. 3.4) (Exam 2 Material) (There should be a C in front of cosine. NEED TO FIX)

When is a mass-spring-dashpot system underdamped
When you get imaginary roots from the characteristic equation (October 10. 3.4) (Exam 3 Material)

When is a mass-spring-dashpot system overdamped
When you get two distinct real roots from the characteristic equation (October 10. 3.4) (Exam 3 Material)

When is a mass-spring-dashpot system critically damped
When there is one single real root (October 10. 3.4) (Exam 3 Material)


If we have a mass-spring-dashpot system, that’s underdamped and the equation x(t) is in the form shown in the image, what is the value of p
c/2m. c is the damping constant (October 10. 3.4) (Exam 3 Material)
What is the formula you should use for the method of variation of parameters
(October 13. 3.5) (Exam 3 Material)

How do you get rid of duplications when using the method of undetermined coefficients
Multiply the duplication part by xs where s is the smallest integer greater than 0 that will get rid of duplication. (October 13. 3.5) (Exam 3 Material)
What is the period for a mass spring dashpot system
(October 17. 3.6) (Exam 3 Material)

How do I know if practical resonance is possible
If there is a maximum in the C(omega) graph, then yes there’s practical resonance (October 20. 3.6) (Exam 3 Material)
What is the practical resonance frequency formula
(October 20. 3.6) (Exam 3 Material)

What is the vertical intercept of a C(omega) graph
F0/k (October 20. 3.6) (Exam 3 Material)
If practical resonance is present, what should the graph look like.
(October 20. 3.6) (Exam 3 Material)

What is the general representation for the Fourier series
(October 22. 9.1) (Exam 3 Material)

How do you find a0 for the Fourier series
(October 22. 9.1) (Exam 3 Material)

How do you find an for the Fourier series
(October 22. 9.1) (Exam 3 Material)

How do you find bn for the Fourier series
(October 22. 9.1) (Exam 3 Material)

What’s another way to express cos(n pi)
as (-1)n this is for odd values of n. (October 22. 9.1) (Exam 3 Material).
Consider a function f(t) with a period of 2L. The Fourier series for this function is what
In this case, the coefficient of the integral would be 1/L. (October 22. 9.2) (Exam 3 Material).

If given boundary conditions, x(0)=0=x(L), what series must we use
We must use the sine series for f(t) (October 24. 9.3) (Exam 3 Material).
What does it mean for a function be odd
f(t) = -f(-t) (October 24. 9.3) (Exam 3 Material).
What does it mean for a function be even
f(t) = f(-t) (October 24. 9.3) (Exam 3 Material).
What is the definition of the Laplace Transform
(November 5. 7.1) (Exam 4 Material).

What’s the sum and constant rule for laplace transforms
(November 5. 7.2) (Exam 4 Material).

What is the laplace transform of eat where a is a real number
(November 5. 7.2) (Exam 4 Material).

What is the laplace transform of sin(kt) where k is a real number
(November 5. 7.2) (Exam 4 Material).

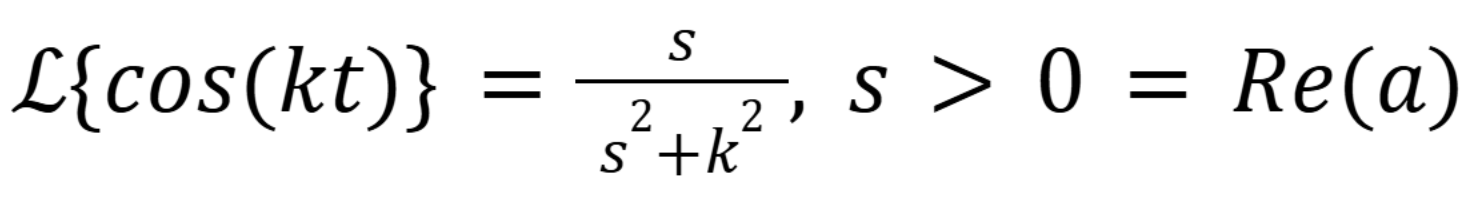
What is the laplace transform of cos(kt) where k is a real number
(November 5. 7.2) (Exam 4 Material).

What is the laplace transform of tn where n is a positive integer
(November 5. 7.2) (Exam 4 Material).

What is the laplace transform of ta where a>-1
(November 5. 7.2) (Exam 4 Material).


In the image shown, what is it equivalent too
(November 5. 7.2) (Exam 4 Material).


In the image shown, what is it equivalent too
(November 5. 7.2) (Exam 4 Material).

What is the laplace transform of sinh(kt) where k is a real number
(November 7. 7.1) (Exam 4 Material).

What is the laplace transform of cosh(kt) where k is a real number
(November 7. 7.1) (Exam 4 Material).

What is the laplace transform of x’(t)
(November 10. 7.2) (Exam 4 Material).

What is the laplace transform of x’’(t)
(November 10. 7.2) (Exam 4 Material).


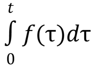
What is the equivalent form of the image shown
(November 10. 7.2) (Exam 4 Material).


(November 12. 7.3) (Exam 4 Material).


(November 12. 7.3) (Exam 4 Material).


(November 12. 7.3) (Exam 4 Material).

What is the convolution of 2 functions
(November 14. 7.4) (Exam 4 Material).


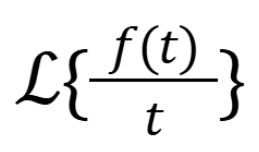
What is the image equal too
(November 14. 7.4) (Exam 4 Material).


What is the image equal too
(November 14. 7.4) (Exam 4 Material).


What is the image equal too
(November 14. 7.4) (Exam 4 Material).

How do you check linear independence for matrices?
If the determinant of both matrices combined is NOT 0 for all input values, then they’re linearly independent. (December 5 14. 5.1) (Final Exam Material).
What is the general solution for x(t) given 2 linearly independent solutions
x(t) = C1(Matrix 1) + C2(Matrix 2) (December 5 14. 5.1) (Final Exam Material).