1/11
Looks like no tags are added yet.
Name | Mastery | Learn | Test | Matching | Spaced | Call with Kai |
|---|
No analytics yet
Send a link to your students to track their progress
Hydroxyl

Methyl

Carbonyl

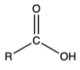
Carboxyl

Amine

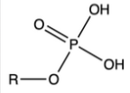
Phosphate

Sulfanyl

Amide

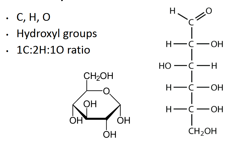
Carbohydrates

Nucleic Acid

Lipid

Proteins
