1/171
Hard lecture - may need to mind-map off for revision
Name | Mastery | Learn | Test | Matching | Spaced | Call with Kai |
|---|
No analytics yet
Send a link to your students to track their progress
What is capital structure?
Debt and equity mix
What is financial leverage?
Use of debt to increase potential returns
What is levered equity?
Equity with debt - equity+debt
(In it’s capital structure)
What is unlevered equity?
Equity without debt - equity
(In it’s capital structure)
What is recapitalisation?
Changing the firm’s debt–equity mix
What is homemade leverage?
Personal borrowing by investors
What are Case I assumptions?
No taxes
No costs
No bankruptcy
MM Proposition I Case I?
Firm value unchanged
Formula for MM Proposition I?
VL = VU


What is VL?
the value of levered firm

What is VU?
the value of unlevered firm
(all-equity-financed firm)

What does VL = VU mean?
Capital structure irrelevant

Does changing debt affect total firm value?
No

What happens when a firm increases debt?
Equity replaced by debt


What is RE?
the return on equity

What is RA?
the return on assets

What is RU?
return on unlevered firm
(or cost of unlevered equity)
MM Proposition II Case I?
Cost of equity rises with leverage

What is D/E?
Debt to equity ratio
What is WACC?
Weighted average cost of capital
What does WACC represent?
Overall required return of the firm

Who are the providers of capital?
Debt holders and equity holders
Why is WACC important in MM theory?
It determines firm value
What is MM trying to test?
If capital structure affects value
Why does cost of equity increase?
Shareholders face higher financial risk
What is capital structure in all-equity firm?
100% equity

What is WACC in all-equity firm?
RE = RA = RU (same for with or without tax)

Why is RE equal to RA here?
No financial risk
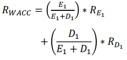
What is WACC formula with debt?
(E/(E+D))RE + (D/(E+D))RD

What happens to equity weight?
Decreases
What happens to debt weight?
Increases
Why does WACC stay unchanged between all equity and when there is some debt financing?
RE increase offsets cheap debt

What happens when more debt is added?
Higher leverage
What happens to RE?
Increases further
Why does RE rise more?
Higher financial risk
What happens to WACC now?
Still unchanged

Why is WACC still constant?
Further RE increase offsets debt
What is the Proposition II formula?

What is RD?
The cost of debt
What is the Proposition II formula represent?
The cost of equity rises with leverage because the risk of equity rises with leverage
What does (RA − RD) represent?
Risk premium over debt
What does (D/E) represent?
Level of leverage

What does (RA – RD )(D/E) represent?
The cost of the firm’s financial risk
What does the MM theory of capital structure graph look like?

What happens to RE as leverage increases?
Increases linearly

What happens to RD?
Stays relatively flat


What happens to the WACC line?
It is flat and constant
(no value change)

What is RU?
It’s a single point whereas RA , RE, RD and RWACC are all entire lines


What is RU relative to RA?
RU is always equal to RA
What is the general equation for the WACC return?

What is asset beta formula?

How would we rearrange the beta equation?
It shows equity risk increasing with leverage


What does βA represent?
Business risk due to the nature of the firm’s operations

What does βE represent?
Equity risk

What does βD represent?
Debt risk
What determines systematic risk of equity?
Business and financial risk
What is business risk?
Risk from operations
What is financial risk?
Risk from leverage
What is business risk driven by?
Firm operations
What is financial risk driven by?
Leverage
What is βD typically?
Close to zero

Why is βE greater than βA?
Added financial risk
Key assumptions in Case II
Interest is tax deductible
What are some other key assumptions?
Profits are taxed
Interest on debt is tax-deductible
Debt gives a tax shield
No transaction costs
Firms and individuals borrow at the same rate
No bankruptcy costs
What is the effect of tax deductibility?
Interest reduces taxable income
What is the tax saving from debt called?
Tax shield
Tax shield formula?
Tc × D
What is the annual tax shield formula?

What is tax shield?
Tax saving from interest
What is Tc?
Corporate tax rate

What is D?
Value of debt

What is RD?
cost of debt/interest rate on debt
What does tax shield represent?
Value of tax savings
Why does tax shield increase firm value?
Less tax paid
MM Proposition I Case II?
Firm value increases with debt
How are assets financed in Case II all equity?
All assets are financed by equity

What is firm value VU in Case II all equity?
The present value of all future cash flows after tax

What changes in Case II some debt financing?
The same assets are partly financed with debt
Why is firm value higher in Case II some debt financing?
Because debt gives a tax shield, so after-tax cash flows rise

What is the firm value formula in Case II some debt financing?

What changes in Case II more debt financing?
The same assets are financed with slightly more debt
What is the firm value formula in Case II more debt financing?

Why is firm value even higher in Case II more debt financing?
Because more debt gives a bigger tax shield

What is the key assumption in MM Case II Proposition I?
Interest is tax deductible
What increases firm value in Case II?
Present value of interest tax shield
What is the formula for firm value with tax?
VL = VU + TcD

What does TcD represent?
Present value of tax shield
What is the tax shield each period?
Tc × RD × D


What does RD × D represent?
Interest payment
How is PV of tax shield calculated?
(Tc × RD × D) / RD
(this assumes debt is perpetual as the tax shield continues forever)

Why divide by RD?
Discount at cost of debt
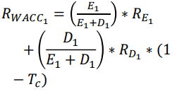
What is WACC formula with some debt for case II?

What happens to WACC compared to all-equity firm?
RWACC1 < RWACC

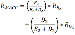
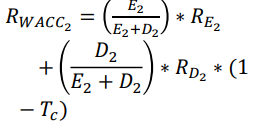
What is WACC formula with more debt?

What happens to WACC compared to some debt?
RWACC2 < RWACC1

What happens to cost of equity when debt increases?
RE increases with leverage
Is this same as Case I?
Yes
What happens to WACC when debt increases?
WACC decreases
Is this same as Case I?
No
Why does WACC decrease in Case II?
Tax shield effect