1/27
Looks like no tags are added yet.
Name | Mastery | Learn | Test | Matching | Spaced | Call with Kai |
|---|
No analytics yet
Send a link to your students to track their progress
גבול סופי: הגדרת הגבול

גבול סופי: יחידות הגבול

גבול סופי: סדרה חסומה

גבול סופי: חשבון גבולות

גבול סופי: משפט הסנדוויץ׳

גבול סופי: אי שוויון גבולות

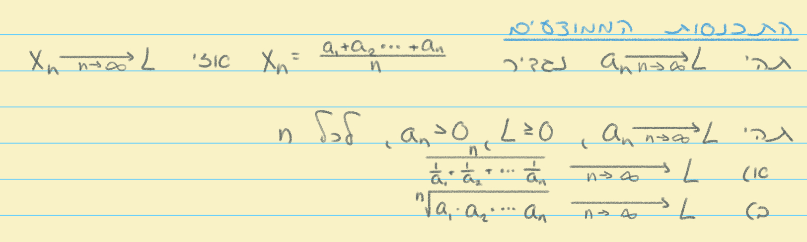
גבול סופי: התכנסות ממוצעים

גבול במובן הרחב: הגדרה

גבול במובן הרחב: אריתמטיקה במובן הרחב (3)

גבול במובן הרחב: משפט הפיצה

גבול במובן הרחב: מבחן השורש

גבול במובן הרחב: מבחן המנה

סדרות מונוטוניות: משפט - מונוטונית וחסומה

סדרות מונוטוניות: משפט - כל מונוטונית

הלמה של קנטור: הגדרה

הלמה של קנטור: ניסוך גאומטרי

תת סדרה: הגדרה

תת סדרה: ת״ס של סדרה מתכנסת

גבול חלקי: הגדרה

בולצאנו ויירשטראס (BW): הגדרה

בולצאנו ויירשטראס (BW): מסכנות (5)

גבול עליון ותחתון: הגדרה

גבול עליון ותחתון: הגדרה (inf, sup)

גבול עליון ותחתון: משפט - גבולות חלקיים

סדרת קושי: הגדרה

סדרת קושי: הגדרה שקולה

סדרת קושי: משפט - חסימות

סדרת קושי: משפט - התכנסות
