1/39
Looks like no tags are added yet.
Name | Mastery | Learn | Test | Matching | Spaced | Call with Kai |
|---|
No analytics yet
Send a link to your students to track their progress
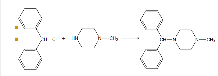
CYCLIZINE

Synthèse

HYDROXYZINE

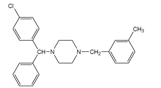
MECLOZINE

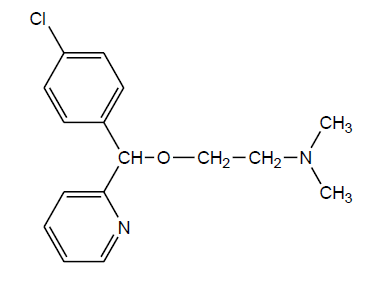
BUCLIZINE

CLOCINIZINE: +

CETIRIZINE

DIPHENHYDRAMINE

CHLORPHENOXAMINE

CARBINOXAMINE:

PHENIRAMINE

CHLORPHENIRAMINE

BROMPHENIRAMINE:

TRIPROLIDINE

FEXOFENADINE

AZELASTINE:

MIZOLASTINE

EMEDASTINE

LEVOCABASTINE

bilastine

CROMOGLYCATE DISODIQUE

NEDOCROMIL

IODOXAMIDE ALMIDE* collyre

CIMETIDINE (CHEF DE
FILE)

RANITIDINE: Véritable chef de
file

FAMOTIDINE

NIZATIDINE

la phénothiazine

PROMETHAZINE

ALIMEMAZINE

OXOMEMAZINE:

MEQUITAZINE

ISOTHIPENDYL

PIMETIXENE

CYPROHEPTADINE

LORATADINE

DESLORATADINE

OLOPATADINE

PIZOTIFENE

KETOTIFENE
