1/10
Looks like no tags are added yet.
Name | Mastery | Learn | Test | Matching | Spaced |
|---|
No study sessions yet.
What is the Taylor series formula?

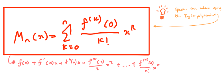
What is the Maclaurin series formula?

What is the radius of convergence?

What is the Taylor series’ inequality

What is the Maclurin series for e^x

What is the Maclurin series for sinx

What is the Maclurin series for cosx

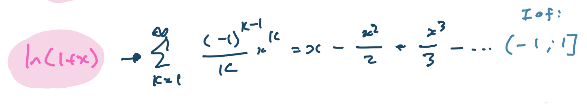
What is the Maclurin series for ln(1+x)

What is the Maclurin series for 1/1-x

Differentiating and integrating Taylor series

What is the formula for binominal series?
