1/22
Looks like no tags are added yet.
Name | Mastery | Learn | Test | Matching | Spaced | Call with Kai |
|---|
No study sessions yet.
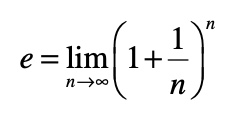
definition of e

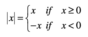
absolute value

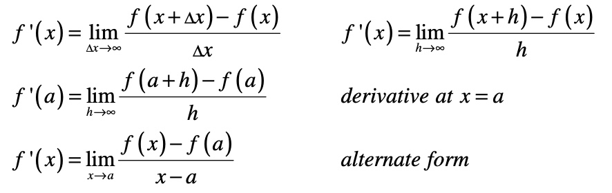
definition of the derivative

definition of continuity

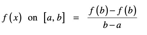
average rate of change

rolle’s theorem

mean value theorem

intermediate value theorem

definition of a critical number

first derivative test

second derivative test

definition of concavity

test for concavity

definition of an inflection point

exponential growth

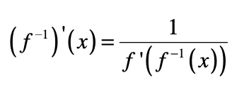
derivative of an inverse function

position, velocity, acceleration

pythagorean identities

sum and difference identities

double angle identities

half angle identities

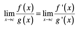
l’hôpital’s rule

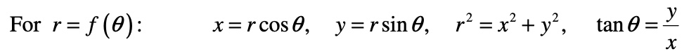
polar coordinates and graphs
