1/29
Looks like no tags are added yet.
Name | Mastery | Learn | Test | Matching | Spaced | Call with Kai |
|---|
No analytics yet
Send a link to your students to track their progress

what aa is this
alanine, ala, A

what aa is this
valine, val, V

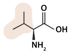
what aa is this
leucine, leu, L

what aa is this
isoleucine, Ile, I

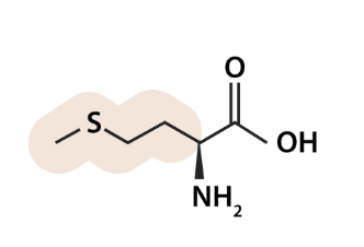
what aa is this
methionine, met, M

what aa is this
phenylalanine, phe, F

what aa is this
tryptophan, Trp, W

what aa is this
proline, Pro, P

what aa is this
histidine, His, H

what aa is this
lysine, Lys, K

what aa is this
arginine, arg, R

what aa is this
aspartic acid, asp, D

what aa is this
glutamic acid, glu, E

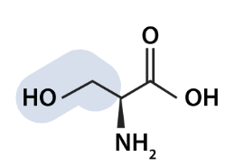
what aa is this
serine, ser, S

what aa is this
threonine

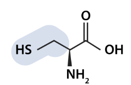
what aa is this
cysteine, cys, C

what aa is this
tyrosine, tyr, Y

what aa is this
asparagine, asn, N

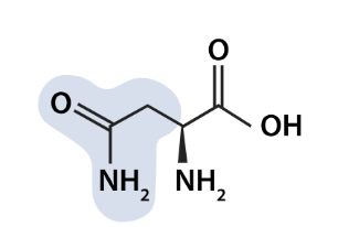
what aa is this
glutamine, gln, Q

what aa is this
glycine, gly, G

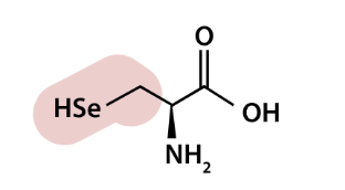
what aa is this
selenocysteine, sec, U
pka of arginine side chain
12.10
histidine pka
6.04
lysine pka
10.67
aspartic acid pka
3.71
glutamic acid pka
4.15
cysteine pka
8.14
selenocysteine
5.2
proline pka
10.47
tyrosine
10.10