1/18
Looks like no tags are added yet.
Name | Mastery | Learn | Test | Matching | Spaced | Call with Kai |
|---|
No analytics yet
Send a link to your students to track their progress
Domain & range of f(x,y)
Domain of f(x,y) is its undefined spots. D = {(x,y) ∈ ℝ2 | …}
Range of f(x,y) is {f(x,y) | (x,y) ∈ D}
Graph of f(x,y) & sketching
Set of all (x, y, z) ∈ ℝ3, such that z = f(x,y).
Sketch LOC for different heights k
Level of curves of f(x,y)
f(x,y) = k, where k is an ℤ.
Turns f(x,y) into ay = k - bx form which is easy to graph.
Plane & sphere on f(x,y) & sketching
Linear plane is of form f(x,y) = ax + by + c
Determine intercepts & draw plane through these points.
Sphere is of form r2 = x2 + y2 + z2
z = sqrt(r2-x2-y2) is top half & z = -sqrt(r2-x2-y2) is bottom half.
Limits and f(x,y)
lim(x,y) → (a,b) f(x,y) = L.
Solve using standard methods.
Continuity and f(x,y)
Continuous if lim(x,y) → (a,b) f(x,y) = f(a,b)
Solving strategy:
If (a,b) is in domain then directly substitute
If not in domain then:
Polar substitution if terms of form x2+y2
Simplify function by using factorisation, cancelling & identities
Test limit by using path method & prove by using squeeze theorem
Path method to show undefined limit
Let C1 be [choose], then substitute into f(x,y) and compute given limit. Next let C2 be [choose], then substitute into f(x,y) and compute given limit. If answers not equal then limit does not exist.
C1 & C2 can be as simple as y=0 & x=0, but if that doesn’t work then choose options that will make answer not equal to each other.
eg. options that cause either x or y to cancel out and give constant that is not 0.
Squeeze theorem with f(x,y)
If g(x,y) < f(x,y) < h(x,y) for all (x,y) ∈ D, and lim(x,y) → (a,b) g(x,y) = L = lim(x,y) → (a,b) h(x,y), then lim(x,y) → (a,b) f(x,y) = L.
Polar substitution and f(x,y)
lim(x,y) → (0,0) f(x,y) = limr → 0+ f(rcosθ, rsinθ), where r > 0.
If a value of θ makes limit undefined then polar substitution is invalid.
If polar limit in intermediate form use L’Hopital
Partial derivatives and f(x,y)
fx & fy also written as df/dx & df/dy, D1f & D2f and Dxf & Dyf.
when determining fx, treat y as a constant.
when determining fy, treat x as a constant.
If >2 variable function, then treat all other variables as constants.

Clairaut’s theorem
If fxy & fyx are both continuous, then fxy = fyx
Implicit differentiation and f(x,y)
If f(x,y) cannot be written explicitly.
eg. given: z = f(x,y) & want to determine dz/dx
d/dx * LHS = d/dx * RHS
solve for dz/dx
Chain rule and f(x,y)
Case 1: z=f(x,y) differentiable function of x & y, and x=g(t) & y=h(t) differentiable functions of t, then:
dz/dt = (dz/dx * dx/dt) + (dz/dy * dy/dt)
Case 2: w=f(x,y) differentiable function of x & y, and x=g(s,t) & y=h(s,t) differentiable functions of s & t, then w=w(s,t) and:
dw/ds = (dw/dx * dx/ds) + (dw/dy * dy/ds)
dw/dt = (dw/dx * dx/dt) + (dw/dy * dy/dt)
General case: If u differentiable function of n variables x1, …, xn AND xk (k=1,2...,n) differentiable function of m variables t1, …, tm, then:
du/dti = (du/dx1 * dx/dti) + (du/dx2 * dx/dti) + … + (du/dxn * dx/dti), for i ∈ {1,2,…,m}.
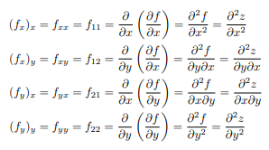
Higher derivatives and f(x,y)

Critical points of f(x,y)
(a,b) is critical point of f if:
fx(a,b) = 0 & fy(a,b) = 0 OR fx(a,b) & fy(a,b) does not exist
Second derivative test & discriminant with f(x,y)

Optimisation problems
Make sketch if possible
Choose appropriate variables & set up equation to be maximised or minimised
Find relationship between variables & eliminate
Create function of one/two variables & determine domain
Determine max of function
Useful formulas:
distance = sqrt[(x1-x2)2 + (y1-y2)2 + (z1+z2)2]
Volume = xyz
Area = 2xy + 2yz + 2xz
Absolute max & min of f(x,y)
Find critical points in given domain
Find critical points & end points on boundary of domain
Largest value found from previous steps is abs max & smallest value found from previous steps is abs min
Extreme value theorem
If a function f(x, y) is continuous on a closed and bounded region R ⊂ ℝ2, then f(x, y) attains both an absolute maximum value and an absolute minimum value at some points within R.