1/25
Looks like no tags are added yet.
Name | Mastery | Learn | Test | Matching | Spaced | Call with Kai |
|---|
No analytics yet
Send a link to your students to track their progress
What are key historical milestones in diabetes?
1500 BC: First description (Ebers Papyrus)
1815: Glucose identified in urine
1869: Islets of Langerhans discovered
1889: Pancreas linked to diabetes
1922: First successful insulin treatment
What are the main drug classes for type 2 diabetes?
Oral:
Metformin
Sulfonylureas
DPP-4 inhibitors
TZDs
SGLT2 inhibitors
Injectable:
GLP-1 analogues
Insulin
What is metformin and why is it first-line for type 2 diabetes?
Biguanide antihyperglycaemic
First-line for type 2 diabetes » due to low risk of hypoglycaemia
How does metformin work?
Inhibits mitochondrial energy production → so ↓ ATP
Activates AMP-activated protein kinase (AMPK)
AMPK effects:
↓ gluconeogenesis in the liver (glucose production)
↑ insulin sensitivity = so increases glucose uptake in muscle
What is the origin of metformin?
Derived from galegine (plant compound)
Used since 1950s
Related drug phenformin withdrawn (lactic acidosis)
How do sulfonylureas work?
Stimulate pancreatic beta cells
Close K⁺ channels → depolarisation
↑ Ca²⁺ influx → insulin release
= ↑ insulin production
What is a key risk of sulfonylureas?
Hypoglycaemia
Weight gain
What structural features affect sulfonylurea activity?
Para-substituted benzene ring = ↑ activity
Larger N-substituents = ↑ lipophilicity & activity
Too large (>12 carbons) = ↓ activity
Example of a sulfonyl urea
Chlorpropamide
Developed by Pfizer
Approved by the FDA to treat T2DM in 1958
Brand name is Diabinese.
Taken by mouth to control high blood sugar levels in individuals with non-insulin-dependent diabetes mellitus (NIDDM)
Chlorpropamide belongs to the class of sulfonylurea drugs that act as insulin secretagogues.
Its primary mechanism of action involves stimulating the release of insulin from the β cells located in the pancreas.
How do thiazolidinediones (TZDs) work?
Activate PPAR-γ receptor
↑ insulin-responsive gene expression
↓ insulin resistance
What is the history of TZDs?
Ciglitazone → first antihyperglycaemic TZD, toxic
Troglitazone → liver toxicity
Rosiglitazone → withdrawn (heart risk)
Pioglitazone → currently used
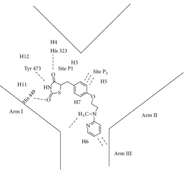
What is the structure of TZDs
TZD acidic head
Lipophilic tail
Central phenyl ring
Two linker chains

How do TZDs bind to the PPARy receptors?
Hydrogen bonds with the P1 hydrophilic binding pocket present in arm I of the active site
Lipophilic tail binds to binding sites in arm II and arm III via:
Hydrophobic interactions
π–π stacking
The aliphatic linking chains act as spacers in order to orientate the acidic TZD head and lipophilic tail into their binding pockets.

How do SGLT2 inhibitors work?
Inhibits sodium-glucose transport proteins in the nephrons
So blocks glucose reabsorption in kidneys
↑ glucose excretion in urine
= decrease blood glucose levels
Give examples of SGLT2 inhibitors
Canagliflozin
Dapagliflozin
Empagliflozin
What are incretin hormones?
Hormones that are released after eating to help lower blood sugar levels.
They are released by the gut and stimulate the pancreas to release insulin
Purpose of incretin secretion?
↑ insulin secretion
↓ glucose production
Slow gastric emptying
↓ appetite
What is exenatide?
Exenatide binds to the intact human Glucagon-like peptide-1 receptor (GLP-1R) in a similar way to the human peptide glucagon-like peptide-1 (GLP-1)
Longer half-life in vivo than GLP-1
How is exantide used to treat type 2 diabetes?
As an add-on to metformin
or a combination of metformin + sulfonylurea or thiazolidinediones
Exenatide is a synthetic version of…
Exendin-4
A peptide found in the venom of the Gila monster
Why can incretins not be used therapeutically?
The half life of a functional GLP-1 molecule is less than 2 minutes
So it will be rapidly cleared from body systems
What is responsible for the clearance of incretin hormones?
DPP-4
So inhibition of DPP-4 to prevent the fast decay of incretins appears to be a promising therapeutic goal in the treatment of diabetes
DPP-4 Inhibitors
Prolong the activity of incretin hormones
Enhancing their insulin secretion
Example of a DPP-4 Inhibitor
sitagliptin
Mechanism of action of sitagliptin?
Bind to DPP-4 enzyme active site
Inhibit enzyme activity
Prolong incretin action
Structure of DPP-4 Inhibitors
Heterocyclic ring
Linker / spacer
Aryl group
