1/9
Looks like no tags are added yet.
Name | Mastery | Learn | Test | Matching | Spaced | Call with Kai |
|---|
No study sessions yet.
Define Standing Wave
Two waves of the same frequency and amplitude travelling in opposite directions

Label This Diagram
The Stationary Wave
a - node
b - antinode
Define Resonance
The transfer of energy between bodies of the same natural frequency
Define Doppler Effect
The apparent change in the frequency of a wave due to the motion of the source or observer

Label This Diagram
The Doppler Effect
a - observer
b - crest 1
c - crest 2
d - crest 3
s - source

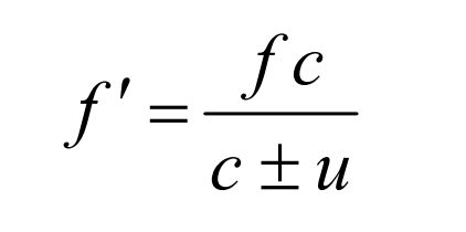
Label This Formula
The Doppler Effect
f’ - apparent frequency
f - actual frequency
c - speed of wave
u - speed of source
+ - source moving away
- - source moving towards
What page of the log tables can you find the Doppler Effect Formula?
59
Demonstrate the doppler effect • 1
Attach buzzer of single frequency on a string
Turn on buzzer
Observed frequency = source frequency
Demonstrate the doppler effect • 2
Spin string
Observed frequency increases and decreases
Name 3 applications of the Doppler Effect
Garda speed guns
Red shift of stars - measures their speed
Train passing under a bridge