Chapter 1 test chem

0.0(0)
studied byStudied by 1 person
full-widthCall with Kai
GameKnowt Play
learnLearn
examPractice Test
spaced repetitionSpaced Repetition
heart puzzleMatch
flashcardsFlashcards
Card Sorting

1/262

encourage image

There's no tags or description

Looks like no tags are added yet.

Study Analytics
Name
Mastery
Learn
Test
Matching
Spaced

No study sessions yet.

263 Terms

1
New cards

Match the scientist:

John Dalton, Werner Heisenberg, J.J Thomson, Ernest Rutherford, Democritus, Niels Bohr, James Chadwick

  • Discovered the electron

  • Thomson

2
New cards

Match the scientist:

John Dalton, Werner Heisenberg, J.J Thomson, Ernest Rutherford, Democritus, Niels Bohr, James Chadwick

  • Uncertainty principle; a particle’s position, energy and time can never be precisely known

  • Heisenberg

3
New cards

Match the scientist:

John Dalton, Werner Heisenberg, J.J Thomson, Ernest Rutherford, Democritus, Niels Bohr, James Chadwick

  • Created a model of the atom with electrons moving around the nucleus in fixed orbits

  • Bohr

4
New cards

Match the scientist:

John Dalton, Werner Heisenberg, J.J Thomson, Ernest Rutherford, Democritus, Niels Bohr, James Chadwick

  • Discovered the neutron

  • Chadwick

5
New cards

Match the scientist:

John Dalton, Werner Heisenberg, J.J Thomson, Ernest Rutherford, Democritus, Niels Bohr, James Chadwick

  • Did the gold foil experiment

  • Rutherford

6
New cards

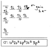
Match the scientist:

John Dalton, Werner Heisenberg, J.J Thomson, Ernest Rutherford, Democritus, Niels Bohr, James Chadwick

  • hypothesized that the atom was a tiny hard sphere

  • John Dalton

7
New cards

Match the scientist:

John Dalton, Werner Heisenberg, J.J Thomson, Ernest Rutherford, Democritus, Niels Bohr, James Chadwick

  • believed that the universe was made of tiny “uncuttable” particles

  • Democritus

8
New cards

Match the scientist:

John Dalton, Werner Heisenberg, J.J Thomson, Ernest Rutherford, Democritus, Niels Bohr, James Chadwick

  • believed that atoms of a given element are identical

  • John Dalton

9
New cards

Match the scientist:

John Dalton, Werner Heisenberg, J.J Thomson, Ernest Rutherford, Democritus, Niels Bohr, James Chadwick

  • Greek philosopher

  • democritus

10
New cards

Match the scientist:

John Dalton, Werner Heisenberg, J.J Thomson, Ernest Rutherford, Democritus, Niels Bohr, James Chadwick

  • created the atomic theory

  • John Dalton

11
New cards

Match the scientist:

John Dalton, Werner Heisenberg, J.J Thomson, Ernest Rutherford, Democritus, Niels Bohr, James Chadwick

  • worked with the quantum theory 

  • Heisenberg and Bohr

12
New cards

Match the scientist:

John Dalton, Werner Heisenberg, J.J Thomson, Ernest Rutherford, Democritus, Niels Bohr, James Chadwick

  • Used the cathode ray tube in his discovery

  • Thomson

13
New cards

Match the scientist:

John Dalton, Werner Heisenberg, J.J Thomson, Ernest Rutherford, Democritus, Niels Bohr, James Chadwick

  • Found the missing mass of the atom’s nucleus

  • Chadwick

14
New cards

Match the scientist:

John Dalton, Werner Heisenberg, J.J Thomson, Ernest Rutherford, Democritus, Niels Bohr, James Chadwick

  • Created the plum pudding model of the atom

  • Thomson

15
New cards

Who is responsible for this:

Stated that in a chemical reaction, atoms are combined, separated or rearranged

  • John Dalton

  • The statement "In a chemical reaction, atoms are combined, separated, or rearranged" was made by John Dalton.

    This idea is part of Dalton's Atomic Theory, formulated in the early 1800s. His theory laid the groundwork for modern chemistry and included the concept that atoms are indivisible in chemical processes and simply rearranged during reactions, not created or destroyed.

16
New cards

Who is responsible for this:

Discovered the nucleus of the atom

  • James Chadwick

  • The neutron was discovered by James Chadwick in 1932.

    He conducted experiments that showed the existence of a neutral particle in the nucleus of the atom, which helped explain the missing mass that couldn't be accounted for by protons alone. This discovery was crucial to understanding atomic structure and eventually led to the development of nuclear energy and atomic weapons.

17
New cards

Who is responsible for this:

Stated that atoms of a particular atom are all alike

  • John Dalton

  • The statement "Atoms of a particular element are all alike" was made by John Dalton.

    This was part of Dalton's Atomic Theory (early 1800s), which proposed that:

    • All matter is made of atoms.

    • Atoms of a given element are identical in mass and properties.

    • Atoms of different elements differ in mass and properties.

    • Atoms cannot be subdivided, created, or destroyed in chemical reactions.

    • Atoms combine in simple whole-number ratios to form compounds.

    So, the correct answer is: John Dalton.

18
New cards

Who is responsible for this:

First discovered there are particles smaller than an atom

  • thomson

  • The scientist who first discovered that there are particles smaller than an atom was J.J. Thomson.

    In 1897, he discovered the electron through his experiments with the cathode ray tube. This showed that atoms are not indivisible, as previously thought, but contain smaller subatomic particles — specifically, negatively charged electrons.

    So, the correct answer is: J.J. Thomson.

19
New cards

Who is responsible for this:

Stated that atoms of different elements combine in small whole number ratios

The statement "Atoms of different elements combine in small whole number ratios" was made by John Dalton.

This is part of Dalton's Atomic Theory, specifically addressing how atoms form compounds:

  • Atoms of different elements combine in simple whole-number ratios to form chemical compounds.

So, the correct answer is: John Dalton.

20
New cards

Who is responsible for this:
Discovered that atoms of each element contain a unique + charge in nuclei

The scientist who discovered that atoms of each element contain a unique positive charge in their nuclei was Ernest Rutherford.

In his gold foil experiment (1909), Rutherford:

  • Discovered the nucleus of the atom.

  • Showed that the positive charge (protons) is concentrated in a small central nucleus.

  • Found that each element has a unique number of protons in its nucleus, later called the atomic number.

Although Henry Moseley later refined this idea by measuring the atomic number through X-ray spectroscopy, Rutherford was the first to discover that the positive charge is in the nucleus and varies by element.

So, the correct answer is: Ernest Rutherford.

21
New cards

Whos responsible for this:

Discovered the charge to mass ratio of the electron

The scientist who discovered the charge-to-mass ratio of the electron was J.J. Thomson.

In 1897, using a cathode ray tube, Thomson measured how the rays (electrons) were deflected by electric and magnetic fields. From this, he was able to calculate the charge-to-mass ratio (e/m) of the electron — even though he didn’t yet know the actual charge or mass individually.

So, the correct answer is: J.J. Thomson.

22
New cards

Whos responsible for this:

Stated that atoms cannot be subdivided, created or destroyed

The statement "Atoms cannot be subdivided, created, or destroyed" was made by John Dalton.

This idea is part of Dalton’s Atomic Theory (early 1800s), which proposed that:

  • All matter is made of atoms.

  • Atoms are indivisible and indestructible in chemical processes.

  • Chemical reactions involve the rearrangement of atoms, but the atoms themselves are not changed.

So, the correct answer is: John Dalton.

23
New cards

Whos responsible for this:

Discovered the neutral particle in the nucleus

The scientist who discovered the neutral particle in the nucleus—the neutron—was James Chadwick.

He made this discovery in 1932, proving that the nucleus contains not just positively charged protons but also neutral particles, which explained the missing mass in the nucleus.

So, the correct answer is: James Chadwick.

24
New cards

Whos responsible for this:

Stated that atoms of one element are different from atoms of another element

The statement "Atoms of one element are different from atoms of another element" was made by John Dalton.

This is a key part of Dalton’s Atomic Theory, which proposed that atoms of different elements have different masses and properties, distinguishing one element from another.

So, the correct answer is: John Dalton.

25
New cards

Who responsible for this:

Discovered the charge on an electron

The charge of the electron was discovered by Robert Millikan through his famous oil drop experiment in 1909.

Millikan measured the exact value of the electron's charge, which allowed scientists to understand the fundamental charge of this subatomic particle.

So, the correct answer is: Robert Millikan.

26
New cards

Who responsible for this:

First stated that all matter was made of indivisible atoms

The first person to state that all matter is made of indivisible atoms was the ancient Greek philosopher Democritus.

Around 400 BCE, Democritus proposed that matter is composed of tiny, indivisible particles called "atomos," meaning uncuttable or indivisible.

So, the correct answer is: Democritus.

27
New cards

Atomic theory matching:

1. This device gave scientists their first image of individual atoms

2. He confirmed the existence of the neutron

3. He developed the beginnings of the modern atomic theory in the 1800s

4. He developed an elaborate experiment that showed that the majority of an atom is empty

5. He first suggested the presence of atoms and named them atomos (“indivisible”)

6. He used a cathode ray tube to discover electrons

A. Democritus B. John Dalton C. J.J Thomson D. James Chadwick E. Ernest Rutherford F. Scanning Tunneling Microscope (STM)

Here’s the matching for the atomic theory statements with the options given:

  1. This device gave scientists their first image of individual atoms
    F. Scanning Tunneling Microscope (STM)

  2. He confirmed the existence of the neutron
    D. James Chadwick

  3. He developed the beginnings of the modern atomic theory in the 1800s
    B. John Dalton

  4. He developed an elaborate experiment that showed that the majority of an atom is empty
    E. Ernest Rutherford

  5. He first suggested the presence of atoms and named them atomos (“indivisible”)
    A. Democritus

  6. He used a cathode ray tube to discover electrons
    C. J.J Thomson

28
New cards

What does quantum mean? How does this relate to electrons?

<p></p>
29
New cards
term image
knowt flashcard image
30
New cards

What are the four quantum numbers called?

  • The principle quantum number (n)

  • The secondary quantum number (l)

  • The magnetic quantum number (ml)

  • The magnetic spin quantum number (ms)

31
New cards

Which quantum number determine s the type of orbital shape?

  • Secondary quantum number (l)

32
New cards

What does the principle quantum number (n) describe

  • energy of electron

  • size of shell

  • describes orbital

33
New cards

What does the secondary quantum number (l) describe

  • shape of orbital →describes orbital

34
New cards

What does the magnetic quantum number (ml) describe

  • orientation of orbital → describes orbital

35
New cards

What does the magnetic spin quantum number (ms) describe

  • “spin” of electron →describes electron

36
New cards

For n = 3, what are the possible values of l?

<p></p>
37
New cards

For l = 2, what are the possible values of ml

<p></p>
38
New cards

Give the numerical values of n and l corresponding the each of the following designations:

a) 3p

b) 2s

c) 4d

knowt flashcard image
39
New cards

Give the values for n, l and ml for each orbital in the 3p subshell

knowt flashcard image
40
New cards

Which of the following represent impossible combinations of n and l

a) 1p

b) 4s

c) 5d

d) 2d

a) and d) don’t exist on p table

41
New cards

a) List the four quantum numbers for each electron in an N atom

knowt flashcard image
42
New cards

b) List the four quantum numbers for the valence electrons in Ca

knowt flashcard image
43
New cards

Give the values of all the quantum numbers that can be associated with an electron in:

a) a 3p orbital

b) a 5d orbital

knowt flashcard image
44
New cards

How many 3d orbitals are there?

  • 5

45
New cards

How many 4p orbitals are there

  • 3

46
New cards

What is the total number of orbitals associated with the principle quantum number

a) n =2

b) n = 3

c) n = 4

chatgpt

  • just square each number

47
New cards

Draw the orbital diagram and write the electron configuration:

1H

knowt flashcard image
48
New cards

Draw the orbital diagram and write the electron configuration:

2He

knowt flashcard image
49
New cards

Draw the orbital diagram and write the electron configuration:

3Li

knowt flashcard image
50
New cards

Draw the orbital diagram and write the electron configuration:

4Be

<p></p>
51
New cards

Draw the orbital diagram and write the electron configuration:

5B

knowt flashcard image
52
New cards

Draw the orbital diagram and write the electron configuration:

6C

knowt flashcard image
53
New cards

Draw the orbital diagram and write the electron configuration:

7N

knowt flashcard image
54
New cards

Draw the orbital diagram and write the electron configuration:

8O

knowt flashcard image
55
New cards

Draw the orbital diagram and write the electron configuration:

9F

knowt flashcard image
56
New cards

Draw the orbital diagram and write the electron configuration:

10Fe

knowt flashcard image
57
New cards

Draw the orbital diagram and write the electron configuration:

11Na

knowt flashcard image
58
New cards

Write the electron configuration of each of the following using the noble gas method

53I

<p></p>
59
New cards

Write the electron configuration of each of the following using the noble gas method

57La

knowt flashcard image
60
New cards

Write the electron configuration of each of the following using the noble gas method

60Nd

knowt flashcard image
61
New cards

Write the electron configuration of each of the following using the noble gas method

76Os

knowt flashcard image
62
New cards

Write the electron configuration of each of the following using the noble gas method

79Au

knowt flashcard image
63
New cards

Write the electron configuration of each of the following using the noble gas method

82Pb2+

knowt flashcard image
64
New cards

Draw the orbital diagram for aluminum

knowt flashcard image
65
New cards

Draw the orbital diagram for fluorine

knowt flashcard image
66
New cards

Do the electron configuration and draw the orbital diagram

Ar

knowt flashcard image
67
New cards

Do the electron configuration and draw the orbital diagram

N

knowt flashcard image
68
New cards

Do the electron configuration and draw the orbital diagram

P

knowt flashcard image
69
New cards

Do the electron configuration and draw the orbital diagram

Na

knowt flashcard image
70
New cards

Do the electron configuration and draw the orbital diagram

Ca

knowt flashcard image
71
New cards

Do the electron configuration and draw the orbital diagram

S

knowt flashcard image
72
New cards

Do the electron configuration and draw the orbital diagram

Al3+

<p></p>
73
New cards

Do the electron configuration and draw the orbital diagram

K+

knowt flashcard image
74
New cards

Do the electron configuration and draw the orbital diagram

Cl-

knowt flashcard image
75
New cards

Do the electron configuration and draw the orbital diagram

S2-

knowt flashcard image
76
New cards

Do the electron configuration and draw the orbital diagram

Zn2+

knowt flashcard image
77
New cards

Do the electron configuration and draw the orbital diagram

Ag+

knowt flashcard image
78
New cards

Do the electron configuration and draw the orbital diagram

As

knowt flashcard image
79
New cards

Do the electron configuration and draw the orbital diagram

As3+

knowt flashcard image
80
New cards

Do the electron configuration and draw the orbital diagram

As5+

knowt flashcard image
81
New cards

Do the electron configuration and draw the orbital diagram

Fe

knowt flashcard image
82
New cards

Do the electron configuration and draw the orbital diagram

Fe2+

knowt flashcard image
83
New cards

Do the electron configuration and draw the orbital diagram

Fe3+

knowt flashcard image
84
New cards

Do the electron configuration and draw the orbital diagram

Sn4+

knowt flashcard image
85
New cards

Do the electron configuration and draw the orbital diagram

Mn2+

knowt flashcard image
86
New cards

Do the electron configuration and draw the orbital diagram

Cr6+

knowt flashcard image
87
New cards

True or False

The volume of an atom is essentially that volume occupied by the electrons

True.

The volume of an atom is essentially the volume occupied by its electrons.

Explanation:

  • Atoms are mostly empty space.

  • The nucleus (protons and neutrons) occupies a very small central region.

  • The electrons are spread out in a "cloud" around the nucleus, and this cloud defines the effective size or volume of the atom.

  • Even though electrons are tiny and have negligible mass compared to the nucleus, the region where they are likely to be found (according to quantum mechanics) determines the atom’s spatial extent.

So, the volume of an atom refers to the space where its electrons are likely to be found, not the physical volume of its subatomic particles.

88
New cards

True or False

The greater the difference in energy between two levels, the longer the wavelength of the light emitted when an electron moves between them

False.

Correct Explanation:

The greater the energy difference between two levels, the shorter the wavelength of the light emitted.

This follows from the equation:

E = hc/λ

Where:

  • E = energy difference between levels

  • h = Planck's constant

  • c = speed of light

  • λ = wavelength

So, if energy E increases, then wavelength λ must decrease (they are inversely proportional).

Therefore:

  • Large energy differenceshort wavelength (e.g. ultraviolet)

  • Small energy differencelong wavelength (e.g. infrared)

Final Answer: False

89
New cards

True or False

The atomic number is always equal to the number of electrons in a particular atom

False.

Explanation:

  • The atomic number of an element is equal to the number of protons in its nucleus.

  • In a neutral atom, the number of electrons equals the number of protons, so the atomic number does equal the number of electrons in that case.

  • However, if the atom is ionized (it gains or loses electrons), then the number of electrons is not equal to the atomic number.

Examples:

  • Neutral sodium atom (Na):

    • Atomic number = 11 → 11 protons and 11 electrons

  • Sodium ion (Na⁺):

    • Still has 11 protons → atomic number = 11

    • But now has 10 electrons

Final Answer: False — because the atomic number equals the number of electrons only in neutral atoms, not always.

90
New cards

True or False

The radius of a negatively charged monatomic ion is larger than the radius of the parent neutral atom

True.

Explanation:

When a neutral atom gains one or more electrons to become a negatively charged ion (anion):

  • Electron-electron repulsion increases, because more electrons are present in the same electron cloud.

  • The effective nuclear charge per electron decreases, since the number of protons (positive charge) stays the same, but more electrons are present.

  • As a result, the electron cloud expands, and the ion becomes larger than its neutral parent atom.

Example:

  • Cl (neutral atom): has 17 protons and 17 electrons.

  • Cl⁻ (anion): has 17 protons and 18 electrons → increased repulsion causes a larger radius.

Final Answer: True — the radius of a negatively charged monatomic ion is larger than that of its neutral atom.

91
New cards

True or False

The energy associated with an electron in a given atom is almost fully described by specifying its value of the quantum number n

In more detail:

  • In the hydrogen atom (which has only one electron), the energy levels depend only on the principal quantum number nnn:

    En = -3.6eV / n2

    So for hydrogen, n does describe the energy completely.

  • In multi-electron atoms, energy also depends on the azimuthal quantum number ℓ\ellℓ, which determines the subshell (s, p, d, f):

    • Orbitals with the same nnn but different ℓ\ellℓ values (like 2s and 2p) have different energies.

    • This is due to electron-electron interactions and shielding effects.


Conclusion:

  • For hydrogen: nnn is enough → True in this limited case.

  • For most atoms: nnn is not sufficient → must include ℓ\ellℓ and possibly other quantum numbers.

Final Answer: False — because nnn alone does not fully describe the energy in most atoms.

92
New cards

True or False

An orbital diagram is a geometrical representation of the shape of an orbital

Explanation:

An orbital diagram is not a geometrical representation of an orbital's shape. Instead:

  • An orbital diagram is a graphical way to show electron configurations.

  • It uses boxes or lines to represent orbitals and arrows to represent electrons (with their spins

  • In contrast, a geometrical representation of an orbital's shape refers to the actual spatial distribution of where an electron is likely to be found — like:

    • s orbitals: spherical

    • p orbitals: dumbbell-shaped

    • d orbitals: cloverleaf-shaped

These are often shown as 3D plots of probability densities or boundary surfaces.


Final Answer: False — an orbital diagram shows electron configurations, not orbital shapes.

93
New cards

True or False

The energy associated with electromagnetic radiation decreases in order x-ray > ultraviolet > visible > infared

True.

Explanation:

The energy of electromagnetic radiation is inversely proportional to its wavelength, according to the equation:

E = hc / λ

Where:

  • E = energy

  • h = Planck's constant

  • c = speed of light

  • λ = wavelength

So, shorter wavelength = higher energy.


Electromagnetic spectrum (from high to low energy):

  1. X-rays → shortest wavelength → highest energy

  2. Ultraviolet (UV)

  3. Visible light

  4. Infrared (IR) → longest wavelength among these → lowest energy


Final Answer: True — energy decreases in the order:
x-ray > ultraviolet > visible > infrared.

94
New cards

True or False

When an atom absorbs a photon of energy E, the atom undergoes an increase in energy equal to or less than E

False.

Explanation:

When an atom absorbs a photon of energy EEE, the atom’s energy increases by exactly EEE — not less than EEE.

This is because:

  • Photons are quantized packets of energy.

  • An atom can only absorb a photon if the photon's energy exactly matches the energy difference between two allowed energy levels.

  • If the energy doesn’t match an allowed transition, the photon is not absorbed.

ΔEatom = ΔEphoton


Final Answer: False — the atom’s energy increases by exactly E, not less than E.

95
New cards

True or False

Ground state describes an atom with all its electrons in the lowest possible energy levels (and sublevels)

Explanation:

The ground state of an atom refers to the condition where all its electrons are in the lowest possible energy levels and sublevels available, consistent with the rules of:

  • The Aufbau principle (fill lowest energy orbitals first),

  • The Pauli exclusion principle (no two electrons can have the same set of quantum numbers), and

  • Hund's rule (electrons occupy degenerate orbitals singly before pairing).

If an atom is not in the ground state (e.g., one or more electrons are in higher energy orbitals than necessary), it is said to be in an excited state.


Final Answer: True — the ground state means all electrons are in the lowest energy levels and sublevels possible.

96
New cards

True or False

Gravitational attraction makes a negligibly small contribution to the force holding an electron in an atom

Explanation:

The force that holds an electron in an atom is primarily the electrostatic (Coulomb) attraction between the negatively charged electron and the positively charged nucleus.

While there is technically a gravitational force between the electron and the nucleus, it is:

  • Extremely small compared to the electrostatic force.

  • Negligible in atomic-scale interactions.

This is because gravity is much weaker than the electromagnetic force by a factor of approximately 103610^{36}1036.


Final Answer: True — gravitational attraction contributes a negligibly small amount to the force holding an electron in an atom.

97
New cards

Multiple choice

What kind of attractive force holds together the components of an individual atom

a) gravitational

b) magnetic

c) electrical

d) the chemical bond

c) electrical

Explanation:

  • The components of an atom (protons, neutrons, electrons) are held together primarily by electrical (electrostatic) forces:

    • The electrons are attracted to the positively charged nucleus due to electrostatic attraction.

  • Gravitational forces are negligible at atomic scales.

  • Magnetic forces are not the primary force holding an atom together.

  • Chemical bonds hold atoms together in molecules, not the components within an atom.

98
New cards

Multiple choice

Experimental support for the arrangement of electrons in distinct energy levels is based primarily upon

a) the law of constant composition

b) the law of conservation of energy

c) continuous spectra

d) spectra from electrical discharge through gases

d) spectra from electrical discharge through gases

Explanation:

  • When an electric current passes through a gas at low pressure, the gas emits light at specific discrete wavelengths—these are called line spectra or emission spectra.

  • These discrete lines correspond to electrons moving between distinct energy levels in the atoms.

  • This experimental evidence was crucial in supporting the idea that electrons exist in quantized energy levels, not a continuous range of energies.


  • a) Law of constant composition relates to chemical compounds having fixed ratios, not electron energy levels.

  • b) Law of conservation of energy is fundamental but not specific evidence for electron arrangement.

  • c) Continuous spectra come from sources like incandescent solids, not gases, and don’t show discrete energy levels.

99
New cards

Multiple choice

For an electron with a quantum number l = 2, the quantum number ml can have

a) only one value

b)  any one of three values

c) any one of five values

d) an infinite number of values

The correct answer is:

c) any one of five values

Explanation:

  • The magnetic quantum number mlm_lml​ depends on the azimuthal quantum number lll.

  • For a given lll, mlm_lml​ can take integer values from −l-l−l to +l+l+l, including zero.

  • So, for l=2l = 2l=2, possible mlm_lml​ values are:

−2,−1,0,+1,+2,-2,

  • That’s a total of 5 possible values.

100
New cards

Multiple choice

The number of electrons which can be accommodated in an electronic sublevel with l = 2  is

a) 2

b) 6

c) 10

d) 14

c) 10

Explanation:

  • For l=2l = 2l=2, the sublevel corresponds to a d-sublevel.

  • The number of orbitals in a sublevel is given by the number of possible mlm_lml​ values:

    ml=−l,...,0,...,+lm_l = -l, ..., 0, ..., +lml​=−l,...,0,...,+l

  • For l=2l = 2l=2, there are 5 orbitals.

  • Each orbital can hold 2 electrons (with opposite spins).

  • So total electrons = 5×2=105 \times 2 = 105×2=10.