1/11
Practice flashcards created for the Math 152 Midterm 3 review sheet to assist studying important concepts and formulas.
Name | Mastery | Learn | Test | Matching | Spaced | Call with Kai |
|---|
No analytics yet
Send a link to your students to track their progress
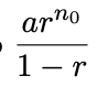
The series in geometric series converges absolutely to __ if |r| < 1.

The N-th Term Test states that if __, then the series diverges.
limn→∞ an ≠ 0
The Integral Test requires that f(x) is positive, continuous, and __ for x > A.
decreasing
The p-series converges if __ and diverges otherwise.
p > 1
If an ≤ bn for all n > N and the series ∑bn converges, then __ according to the Direct Comparison Test.
∑an converges
In the Limit Comparison Test, if L is in the interval (0, ∞), then ∑an and ∑bn either both __ or both diverge.
converge
The Absolute Convergence Test states that if ∑|an| converges, then ∑an __.
converges
The Ratio Test indicates that if ρ < 1, then the series converges __.
absolutely
The Alternating Series Test requires that un are eventually __ and limn→∞ un = 0.
non-increasing
The Maclaurin series for e^x is __.
∑(x^n / n!)
The Taylor series generated by f at x = a is given by __.
T(x) = ∑(f(k)(a) / k!)(x - a)^k
The Taylor polynomial of order n generated by f at x = a is __.
Pn(x) = f(a) + f′(a)(x − a) + … + f(n)(a) / n!(x − a)^n