1/30
Looks like no tags are added yet.
Name | Mastery | Learn | Test | Matching | Spaced | Call with Kai |
|---|
No analytics yet
Send a link to your students to track their progress

area for square

area for rectangle

area for triangle

area for circle

circumference of a circle

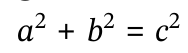
pythagorean theorem

volume for square

volume for rectangle

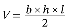
volume for triangular prism

volume for cylinder

conversion to fahrenheit

conversion to celsius
the sum of all sides of a shape
finding the perimeter

what expression is this?
inequality

what expression is this?
linear

what expression is this?
quadratic

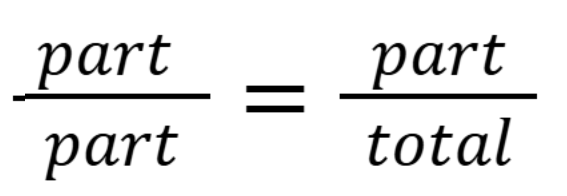
ratio word problems

percent increase

percent decrease
decimal TO percent
multiply decimal by 100
percent TO decimal
divide percent by 100
percent TO fraction
write percent as a fraction, then simplify
ex. 25% will turn into 25/100, simplified to 1/4
1 ft = ? in
12 in
1 in = ? cm
2.54 cm
1 yd = ? ft
3 ft
1 oz = ? g
28.35 g
2 cups = ? pint
1
2 pints = ? quart
1 quart
4 quarts = ? gallon
1
1 gallon = ? L
3.8 L
1 lb = ? oz
16 oz