1/15
Looks like no tags are added yet.
Name | Mastery | Learn | Test | Matching | Spaced | Call with Kai |
|---|
No analytics yet
Send a link to your students to track their progress
Cuando debemos usar distribucion Binominal?
Когда исход: Позитивный или Негативный + Вероятности
Когда известно “чёткое” количество событий “Х”
Когда “вероятность” известна. ‘p’=5%
Cuando debemos usar distribucion Poisson
Когда идет разговор о “medias” (В месяц, в день, в час)
Когда говорят о интенсивности ‘λ’ (1.5 поломок в ^ )
Когда количество событий “Х” в промежутке не ограничено
PS: например в Биноме, не может быть 10 поломок из 8 попыток. В Poisson может быть 10 поломок за 8 дней
Какая цель у distribucion Binominal?
Найти вероятность “р” того что “успех” случится ровно ‘x’ раз в промежутке ‘n’
какая цель у distribucion de poisson?
найти вероятность того, что в конкретном временном окне произойдет ‘x’ событий, зная среднюю вероятность того что это произойдет.
Al usar poisson - Сuando tenemos Muestra muy grande, que debemos hacer? 3
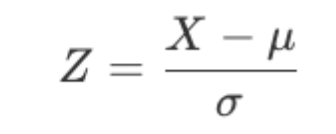
Hacemos la aproximacion a la distribucion normal ‘Z’
u (media) = n x p
o (desviacion tipica) = √ [ n*p*(1-p) ]
Теперь используем формулу.

Зная ‘Z’ заходим в таблицу ‘funcion de distribucion’ и находим ОТВЕТ
Al usar Binominal - Сuando la muestra es muy grande y probabilidad ‘p’ muy pequeña (media < 10), que debemos hacer?
Hacemos ‘aproximacion’ a poisson
Media = n x p
зная нужное количество событий ‘x’ ищем значение в таблице poisson
Al usar Binominal - Сuando la muestra es muy grande, probabilidad ‘p’ muy pequeña y que la media ‘λ’ excede 10, que debemos hacer?
Hacemos la aproximcion a la normal
media = n x p
√ [ n*p*(1-p) ] что бы иметь Desviacion tipica (o) (для формулы)
и где ‘X’ это количество variables данное в задании
и используем эту формулу

Зная ‘Z’ заходим в таблицу ‘funcion de distribucion’ и находим ОТВЕТ
Al usar poisson - Сuando tenemos Muestra muy grande, y nos dicen que tenemos como maximo o minimo un ‘n’, que debemos hacer?
Primero calculamos ≤z
Y hacemos ‘ 1 - ≤z’
asi obtenemos como ‘maximo’ (y no menos)
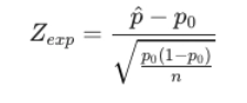
Как найти valor experimental когда нам указаны Пропорции
найти значение hipotesis elaborada/nula P0 (это обычно с которым мы сравниваем)
найти значение hipotesis enunciada P^ (это которое мы получили только недавно)
и знать значение ‘n’ это полное количество mustra
Используем формулу.

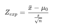
Как найти valor experimental когда нам указаны Средние (mediaas)
для начала определяем что есть средняя из enunciado ‘X’
Потом, что есть средняя hipotesis ‘U0’
Desviacion tipica ‘S’
и финально ‘n’ количество muestra
используем формулу

Назови мне все valores críticos (cola derecha)

1.96 используется чаще всего при Intervalos y Tamaño de muestra
Как понять когда анализировать ‘Constrastes de valor’ por la izquierda o por la derecha
если спрашивают ‘Las cifras p^ son MENORES que p0’ (hipotesis es menor que elbaorado)
Zexp < Valor Critico
То Rechazamos
если спрашивают ‘Las cifras p^ son MAYORES p0’ (hipotesis es mayor que elbaorado)
Zexp < Valor critico
то NO rechazamos
В самом вопросе прегунты могут прямо попросить подсчитать mayor o menor, но так же могут попросить просто ‘contrastar’, в этом случае если в enunciado говорится ‘necesitamos al menos >30%’ (например) то contrastar в этом случае это ‘por la izqueirda <30%’
PS: шпоргалка
MENOR = RECHAZAR (негатив) en caso de ‘ze<zc’
MAYOR = NO RECHAZAR (позитив) en caso de ‘ze<zc’
Как найти p-valor
Зная Valor Critico→ ищем это значение в таблице ‘funcion de distribucion’
Теперь есть 2 пути найти P-Valor: Идем по правой стороне или по левой
ПО ЛЕВОЙ:
если Valor Critico был ПОЗИТИВНЫЙ, то значение в таблице ‘Z’ и есть P-Valor
если же он был НЕГАТИВНЫЙ, то вычитаем знаение таблицы из ‘1 - Z’ и это будет P-Valor
ПО ПРАВОЙ:
Всегда вычитаем из ‘1 - Z’
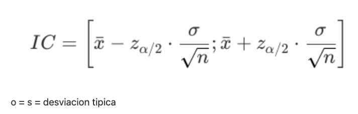
Как считать Intervalos по пропорциям

Как считать intervalos когда у нас Medias

Как найти Tamaño de la muestra
