Home
Explore
Exams
Search for anything
Login
Get started
Home
Important Maclaurin Series
Important Maclaurin Series
0.0
(0)
Rate it
Studied by 0 people
0.0
(0)
Rate it
Call Kai
Learn
Practice Test
Spaced Repetition
Match
Flashcards
Knowt Play
Card Sorting
1/5
There's no tags or description
Looks like no tags are added yet.
Study Analytics
All Modes
Learn
Practice Test
Matching
Spaced Repetition
Name
Mastery
Learn
Test
Matching
Spaced
No study sessions yet.
6 Terms
View all (6)
Star these 6
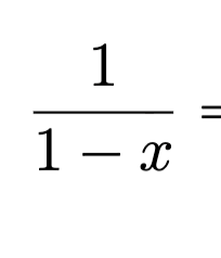
1
New cards
2
New cards
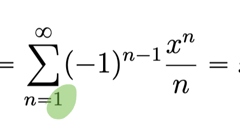
e
x
3
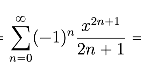
New cards
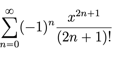
sinx
4
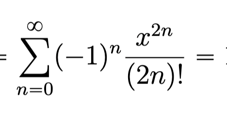
New cards
cosx
5
New cards
arctan(x)
6
New cards
ln(1+x)
Explore top notes
Muscle Parts Functions
Updated 280d ago
Note
Preview
"MAKING OF PAKISTAN"
Updated 976d ago
Note
Preview
Ch 1 - Introduction to Management and organisations
Updated 945d ago
Note
Preview
DNA Structure and Replication Quiz
Updated 1035d ago
Note
Preview
Unit 2: All Words
Updated 1131d ago
Note
Preview
Chapter 23: Chemical Reactions
Updated 896d ago
Note
Preview
Developmental Psych Chapter 17
Updated 1144d ago
Note
Preview
Unit 4: Cell Communication and Cell Cycle
Updated 1h ago
Note
Preview
Muscle Parts Functions
Updated 280d ago
Note
Preview
"MAKING OF PAKISTAN"
Updated 976d ago
Note
Preview
Ch 1 - Introduction to Management and organisations
Updated 945d ago
Note
Preview
DNA Structure and Replication Quiz
Updated 1035d ago
Note
Preview
Unit 2: All Words
Updated 1131d ago
Note
Preview
Chapter 23: Chemical Reactions
Updated 896d ago
Note
Preview
Developmental Psych Chapter 17
Updated 1144d ago
Note
Preview
Unit 4: Cell Communication and Cell Cycle
Updated 1h ago
Note
Preview
Explore top flashcards
Humanities Civics & Citizenship test.
Updated 356d ago
Flashcards (24)
Preview
unit 5: box notes 45-59
Updated 710d ago
Flashcards (20)
Preview
Bigger than Big- Term 2 2023
Updated 910d ago
Flashcards (40)
Preview
SPN 207 Lección 12 Vocabulario
Updated 984d ago
Flashcards (94)
Preview
Psych Semester 1
Updated 1022d ago
Flashcards (175)
Preview
10.4 FOODTECH REV QUIZ
Updated 954d ago
Flashcards (30)
Preview
ALL AP. Lit Vocab Words
Updated 944d ago
Flashcards (51)
Preview
Development and Learning (AP)
Updated 341d ago
Flashcards (95)
Preview
Humanities Civics & Citizenship test.
Updated 356d ago
Flashcards (24)
Preview
unit 5: box notes 45-59
Updated 710d ago
Flashcards (20)
Preview
Bigger than Big- Term 2 2023
Updated 910d ago
Flashcards (40)
Preview
SPN 207 Lección 12 Vocabulario
Updated 984d ago
Flashcards (94)
Preview
Psych Semester 1
Updated 1022d ago
Flashcards (175)
Preview
10.4 FOODTECH REV QUIZ
Updated 954d ago
Flashcards (30)
Preview
ALL AP. Lit Vocab Words
Updated 944d ago
Flashcards (51)
Preview
Development and Learning (AP)
Updated 341d ago
Flashcards (95)
Preview