1/11
Looks like no tags are added yet.
Name | Mastery | Learn | Test | Matching | Spaced | Call with Kai |
|---|
No analytics yet
Send a link to your students to track their progress

Acetyl Coa
Coa-SH

Citrate

Cis-aconitate

Isocitrate

Alpha-Keto-glutarate

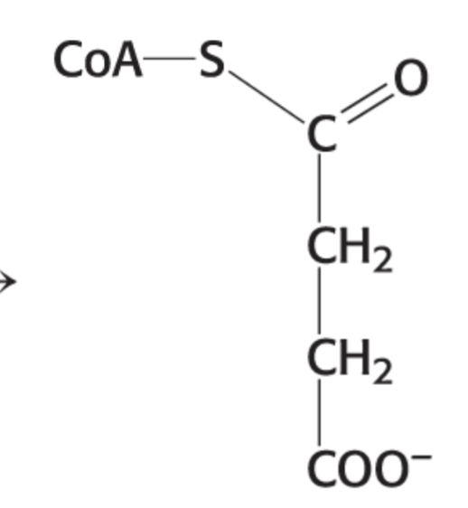
Succinyl Coa

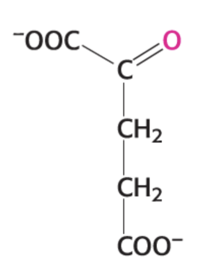
Succinate

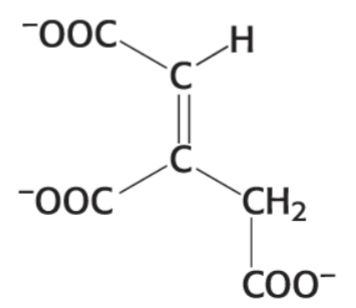
Fumarate

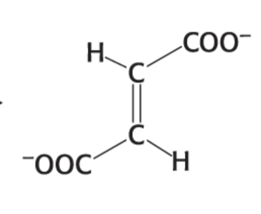
Malate

Oxaloacetate

Citryl CoA