1/10
Looks like no tags are added yet.
Name | Mastery | Learn | Test | Matching | Spaced | Call with Kai |
|---|
No analytics yet
Send a link to your students to track their progress
what does 0! equal to?
equals 1
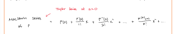
What is the general formula of the taylor series

What is the general formula of the Maclaurin series

What is the power series of ln(1+x)

What is the power series of arctan(x)

What is the M.S for (1+ x) ^ 5, binomial series

If given a complicated fraction, what can you do to it to make it simplier?
Partial Fraction Decomposition (in terms like A, B, etc)
Partial fractions —> often can use the telescoping technique to solve for conv or div
What fractions should you try to use telescoping technique on?

Fact
When building a power series, every x must be in the same format of (x-a)
Cannot have a x randomly outside (x-a)
Fact
When trying to represent functions as power series, need to ask yourself if algebra application is in terms of overall x pattern
e.g) can’t multiply x inside a (x-a) formatted equation —> sigma notation will be messed up