1/10
Looks like no tags are added yet.
Name | Mastery | Learn | Test | Matching | Spaced | Call with Kai |
|---|
No analytics yet
Send a link to your students to track their progress
De Morgan's Laws for propositions

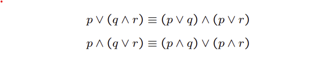
Distributive Laws for propositions

Identity Laws

Domination Laws

Idempotent Laws

Commutative Laws

Associative Laws

Absorption Laws

Double Negation Law

Negation Laws

Material Implication
