1/4
Looks like no tags are added yet.
Name | Mastery | Learn | Test | Matching | Spaced |
|---|
No study sessions yet.

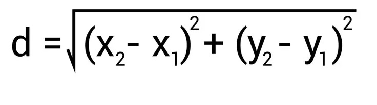
distance formula
How to measure length between A and B?




Midpoint formula
How to find midpoint?


Pythagorean theorem
How to find a side of a right triangle?
