1/97
Looks like no tags are added yet.
Name | Mastery | Learn | Test | Matching | Spaced | Call with Kai |
|---|
No analytics yet
Send a link to your students to track their progress
central limit theorem
many indet errors tend toward Gaussian dist,
±1σ
68.26%
±2σ
95.44%
±3σ
99.72%
μ
mean
z in context of confidence intervals
num of stdev from mean for population
confidence interval formula w pop, μ, σ

diff between pop and sample
pop: entire set of possible measurements
sample: subset of measurements
we switch from z to t in sample data bc:
we dont know σ of population, so s (stdev) and t distribution are used
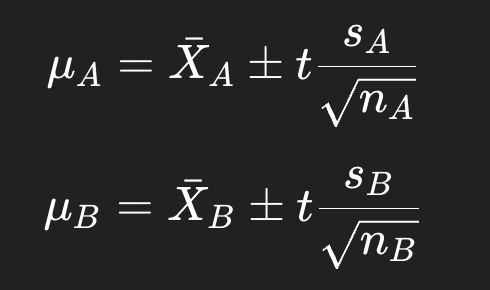
conf int for samp mean
Xˉ = sample mean
t = t value from t-table at given confidence and DOF = n − 1
s = sample standard deviation
n = number of measurements

effect of inc conf level on CI width
CI gets wider bc higher conf level req a larger t value, making ±t·s/√n larger
inc sample size n effect on CI width
narrower CI bc s/√n dec as n inc
null hypothesis (H0)
default assumption that diff btw values can be explained by indet error
alt hyp (Ha)
diff btw values too large to be due to indet error
type I error
incorrectly rejecting null hyp (false pos)
type II error
failing to reject null (false neg)
α relation to conf int
conf level = 1 - α
@ 95% conf, α = 0.05
null and alt hyp used in paired t test
H₀: dbar = 0, no significant difference between methods
Hₐ: dbar ≠ 0, significant difference between methods
f test
whether two variance (s²) are sig diff
H0 and Ha in F test
H0: s12 = s22 (var equal)
H0: s12 ≠ s22 (var diff)
how to calc Fexp
larger var / smaller var
decision rule in F test
if Fexp > F (α, vnum, vden) → reject H0, var sig diff
else → fail to rej H0
when to use unpaired t test
when comparing means of two indep samples, not paired measurements
H0 and Ha for unpaired t test
H0: μa = μb → means equal
Ha: μa ≠ μb → means diff beyond random error
conf interval expressions for each sample in unpaired t test

why is DOF more complicated in unpaired t tests
each sample has own n and s, unc in diff depends on both sets
allows pooling
when F-test shows no significant difference
partition cofficient KD in liq-liq or chrom partitioning
KD= [S]phase 2 / [S]phase 1
large KD
solute spends more time in stationary phase → stronger ret/movement into that phase
types of solute-stat phase int
adsorption on solid surf
part into liq phase
ion-exchange int
size-exclusion
electrophoretic sep (charge/size)
C18 sorbent retains
hphobic (np) spec from aq matrice
analytes that silica SPE retains
low to mod pol spec from org matrices
aminopropyl SPE sorbent
retains more pol cmpds
cyanopropyl/diol sorbent
retains aq and org matrices
sep in GC
based on part between mob gas phase and stat liq phase in column
GC detector types
thermal conductivity det
flame ionization det
electron capture det
chromatogram
plot of det response vs time showing peaks
reversed phase hplc
stat phase nonpol and mob phase pol, nonpol retained, pol elutes first
truly neutral species
elute at same time
P’
Φ = vol frac of each solvent
P’ = pol index of each solvent
***overall mob phase polarity

det commonly paired w hplc
UV vis
diff btw isocratic and grad elution
isocratic: mobile phase stays constant throughout run
grad: mob phase varied to improve sep and speed
cal curves in GC/hplc
peak of area vs known conc
ms can be used w gc/hplc
mass based det shows structural formation and quant data
two main velocity comp in cap electro
electrophor velocity (due to analyte charge)
electroosmotic flow velocity (bulk motion of soln through capillary)
MEKC
micelles in buffer allow sep of neutral and charged species based on part into micelles plus electro behavior
chromatographic res
t = ret time
w = baseline peak widths
larger R = better sep

bigger selec fac
better, bc enhance specificity
alt form that uses FWHM

improve res
inc ret factor so analytes spend more time int w stat phase
inc selec so one solute retains more than another
inc column eff to narrow peaks
ret factor
t = ret time
tm = column void time

larger k
analyte spends more time retained on column relative to mob phase → strongerint w stat phase and longer ret
selectivity factor
k2 > k1 measures how well two an are diff sep

larger selec fac
better bc big diff in ret times → improved sep
N and H in chromatography
N = number of theoretical plates
H = height eq (small H, more eff)
relationship btw N, L, H

relates n and peak shape

n_c
peak capacity - max number of solt peaks that can be baseline res during sep
mass spec
measures ions in gas phase based on m/z
3 steps of mass spec
ionization (sample → gas phase ions
mass analysis - sep ions by m/z
det - measure ion abundance to prod spectrum
high vacuum used in MS bc
prevents ion gas collisions
prevent unwanted rxns
allow stable trajectories
red contamination
maintain det sens
hard ionization (EI)
gives fragment ions, not intact mol
pros of EI
high sens, cheap, easily ID
cons of EI
fragmentation, req gaseous samples, low ionization eff
chemical ionization (CI)
soft - prod intact charged analytes
pros of CI
intact ions, good for identifying MM
cons of CI
multiple ions form, req gaseous sample
electrospray ioniz. (ESI)
for large, nonvolatile, bio mol
why does ESI prod complex spectra
multiple charge states and noncov adducts/complexes
pros of ESI
soft ioniz, works @ atm. press, great for biomol, couples well w/ LC-MS
cons of ESI
spray instability, complex spectra
matrix assisted laser desorption/ionization (MALDI) reqs what
analyte must be mixed w/ light abs matrix that assists desorption/ioniz
pros of MALDI
soft ioniz, large biomol, solids + liqs, imaging MS
cons of MALDI
low reproducibility, low ioniz eff, sample destroyed during process
MALDI pairs w/
TOF
Time of flight (TOF)
based on time req to travel fixed distance - lighter ions reach det faster
pros of lin TOF
unlimited range, high sens, fast analysis
cons of lin TOF
lower res, mass acc dec at high m/z,
reflectron TOF improves
res and mass accuracy by correcting KE diff, res up to 20,000
quadrupole
selects ions using varying electric fields, allow specific m/z to pass
pros of quadrupoles
cheap, small, good for targeted exp, fragmentation
cons of quadrupoles
low res, lim mass range, needs cleaning over time
adv of ion traps
detect all m/z in single scan, can perform seq frag
lim of ion traps
space charge effects (too many ions = distortion)
fourier transform ion cyclotron resonance (FTICR)
extremely high res, mass acc, high sens
downsides of FTICR
expensive, req cryogenic sys, slow analysis
orbitrap
ions orbit central electrode; freq of oscillation → m/z via fourier transform
strengths of orbitrap
very high res, mass acc, high sens
weaknesses of orbitrap
slower than TOF
why high vacuum for MS
prevent ion collisions, prevent chemical rxns, maintain stab traj, avoid contamination
diff pump
cheap, req exp oil
turbomol pump
no oil, long lifetime, very exp
rough/rot vane pump
cheap, but uses oil, scroll pumps to avoid oil but cost more
discrete dynode electron multiplier
ions strike dynodes at inc potential
each impact produces secondary electrons
gain up to 10^7
continuous dynode EM
single curved tube doped w Pb
1.8-2 kV applied across length
cascade of electrons → gain 10^5-10^8
MCP detector
ions hit microchannels → electron cascade
hit phosphorescent screen → light converted to electrical
~1000 e- per incoming ion
ion mobility separates ions by
mobility through buffer gas → depends on mass, size, and shape
collision cross sections
measure related to ions’s size + shape, helps diff isomers