Maclaurin and Taylor Series Formulas

0.0(0)
studied byStudied by 1 person
0.0(0)
full-widthCall Kai
learnLearn
examPractice Test
spaced repetitionSpaced Repetition
heart puzzleMatch
flashcardsFlashcards
GameKnowt Play
Card Sorting

1/6

flashcard set

Earn XP

Description and Tags

To help memorize these for exams, only using commonly known Maclaurin Series

Study Analytics
Name
Mastery
Learn
Test
Matching
Spaced

No study sessions yet.

7 Terms

1
New cards

(1)/(1-x)

<p></p>
2
New cards

e^x

knowt flashcard image
3
New cards

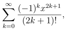
sin(x)

knowt flashcard image
4
New cards

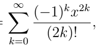
cos(x)

knowt flashcard image
5
New cards

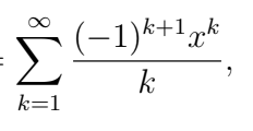
ln(1+x)

knowt flashcard image
6
New cards

-ln(1-x)

knowt flashcard image
7
New cards

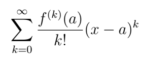
Taylor Series Formula

knowt flashcard image