1/12
Looks like no tags are added yet.
Name | Mastery | Learn | Test | Matching | Spaced |
|---|
No study sessions yet.
Cos double angle formula
Cos²x - sin²x
2cos²x - 1
1-2sin²x
Sin double angle formula
2sinx•cosx
Product rule
Dy/dx = u’v + uv’
Quotient rule
dy/dx = (u’v - uv’)/v²
Tan double angle formula
Tan2x = 2tanx/1-tan²x
Cosine rule
C² = a² + b² - 2(a)(b)cosx
Integration by parts

Sin(a+-b)
Sin(a)Cos(b)+Sin(b)Cos(a)
Cos(a+-b)
Cos(a)Cos(b)-Sin(a)Sin(b)
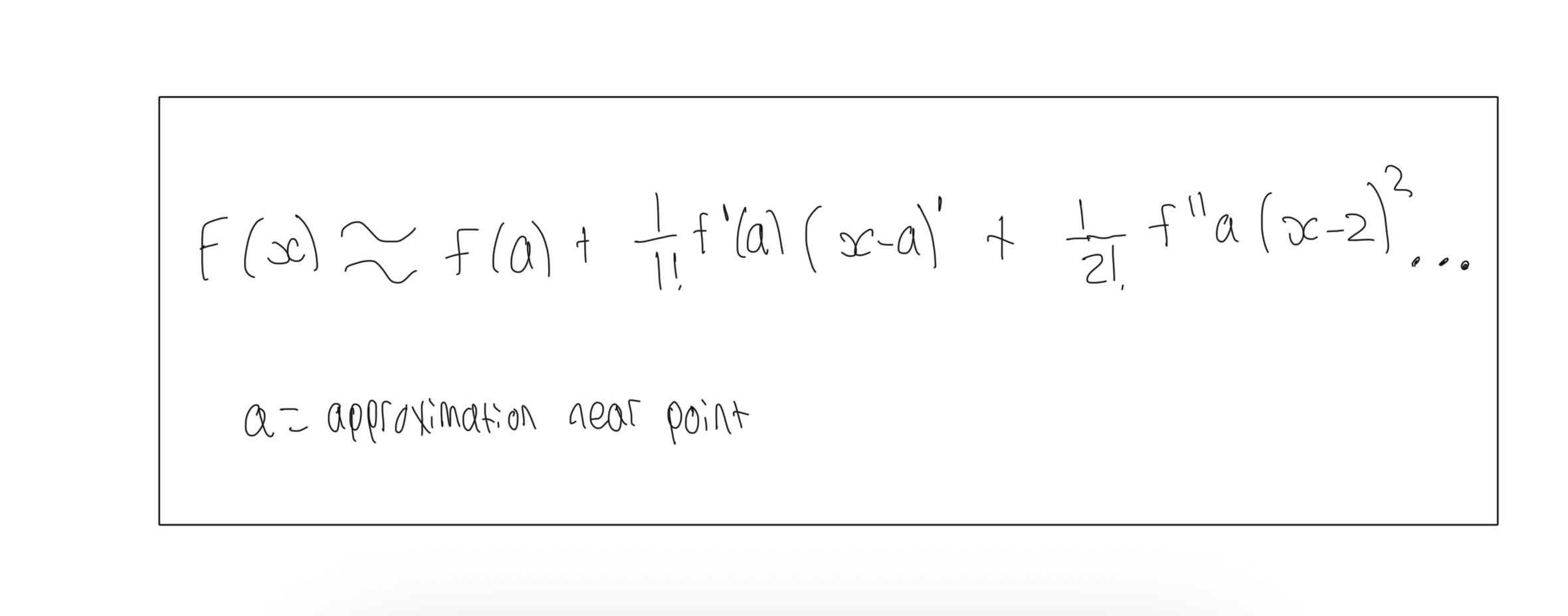
Taylor series

Split a function into even and odd parts

Newton rhapson
Derivative of unit vectors in polar coordinates
