1/13
Looks like no tags are added yet.
Name | Mastery | Learn | Test | Matching | Spaced | Call with Kai |
|---|
No analytics yet
Send a link to your students to track their progress
Conditional Statement
A logical statement with a hypothesis (P) and a conclusion (Q), typically written in the form "if P, then Q" (P \rightarrow Q).
Converse
A statement formed by interchanging the hypothesis and the conclusion of a conditional statement: Q \rightarrow P.
Inverse
A statement formed by negating both the hypothesis and the conclusion of a conditional statement: \neg P \rightarrow \neg Q.
Contrapositive
A statement formed by interchanging and negating both the hypothesis and the conclusion of a conditional statement: \neg Q \rightarrow \neg P. A conditional and its contrapositive always share the same truth value.
Biconditional Statement
A statement that combines a conditional and its converse using the phrase "if and only if" (P \leftrightarrow Q). It is true only when both the hypothesis and conclusion have the same truth value.
Law of Detachment
A law of logic stating that if a conditional statement (P \rightarrow Q) is true and the hypothesis (P) is true, then the conclusion (Q) must also be true.
Law of Syllogism
A law of logic stating that if two conditional statements are true such that the conclusion of one is the hypothesis of the other (P \rightarrow Q and Q \rightarrow R), then the statement P \rightarrow R is also true.
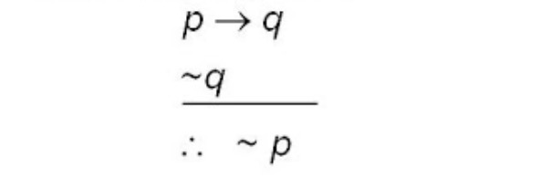
Law of Contrapositive
The logical principle asserting that a conditional statement (P \rightarrow Q) is logically equivalent to its contrapositive (\neg Q \rightarrow \neg P).
Venn Diagrams in Logic
Visual representations of sets and logical relationships. For a conditional statement "If P, then Q," the Venn diagram shows circle P entirely contained within circle Q, indicating that all elements of P are also elements of Q.

What law is this
Detachment

What law is this
Contrapositive

What law is this
Syllogism