ID Lecture 46: Pharmacology of Antiparasitic Agents | Quizlet

0.0(0)
studied byStudied by 0 people
full-widthCall with Kai
GameKnowt Play
learnLearn
examPractice Test
spaced repetitionSpaced Repetition
heart puzzleMatch
flashcardsFlashcards
Card Sorting

1/45

encourage image

There's no tags or description

Looks like no tags are added yet.

Study Analytics
Name
Mastery
Learn
Test
Matching
Spaced

No study sessions yet.

46 Terms

1
New cards

What drugs treat amebiasis, giardia, and trichomoniasis?

Metronidazole

Nitazoxanide

Tinidazole

2
New cards

What drugs are used to treat pneumocystis?

Atovaquone

Pentamidine

Bactrim

3
New cards

What drugs are used to treat anthelmintics?

Albendazole

Mebendazole

Ivermectin

Praziquantel

Pyrantel pamoate

4
New cards

What drugs are used to treat malaria?

Artemesins

Lumefantrine

Atovaquone-proguanil

Chloroquine

Mefloquine

Pyrimethamine

Quinine

5
New cards

What drugs are used to treat scabies and lice?

Crotamiton

Lindane

Permethrin

Pyrethrin

Spinosad

6
New cards

Nitroimidazoles

Metronidazole

Tinidazole

7
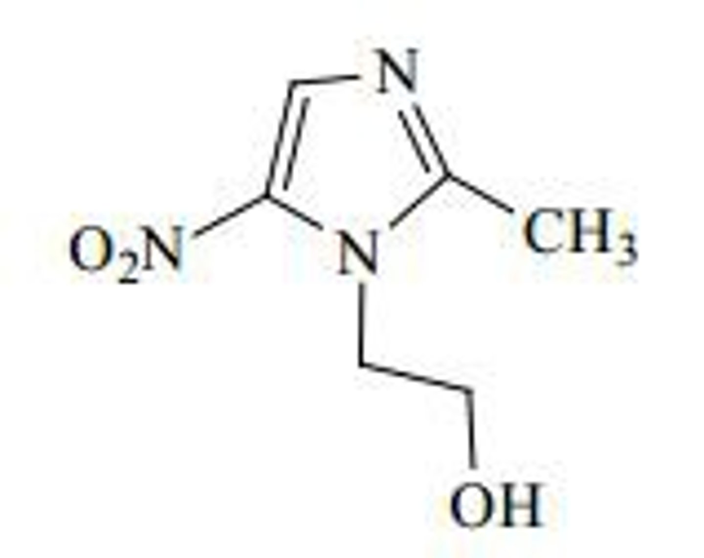
New cards

Tinidazole

Nitroimidazole with a sulfoxide group

<p>Nitroimidazole with a sulfoxide group</p>
8
New cards

MOA of Metronidazole

prodrug, reductive activation of nitro group which binds to and causes DNA damage

<p>prodrug, reductive activation of nitro group which binds to and causes DNA damage</p>
9
New cards

Nitazoxanide MOA

prodrug; metabolically activated and then undergoes glucuronidation to act similarly to Metronidazole

<p>prodrug; metabolically activated and then undergoes glucuronidation to act similarly to Metronidazole</p>
10
New cards

ADRs of Nitazoxanide

Greenish urine discoloration

11
New cards

What is the drug of choice to treat Pneumocystis jirovecii (PJP)?

Bactrim

12
New cards

What is the second line treatment option for Pneumocystis jirovecii (PJP)?

Pentamidine

Atovaquone

13
New cards

Pentamidine MOA

fungicidal topoisomerase inhibition

<p>fungicidal topoisomerase inhibition</p>
14
New cards

Atovaquone MOA

inhibits the mitochondrial respiratory chain to irreversibly affect mitochondrial membrane potential

<p>inhibits the mitochondrial respiratory chain to irreversibly affect mitochondrial membrane potential</p>
15
New cards

Quinine MOA

prevent conversion of hematin (toxic) to hemazoin (nontoxic)

<p>prevent conversion of hematin (toxic) to hemazoin (nontoxic)</p>
16
New cards

ADRs of Quinine

Tinnitus

Visual disturbances

Premature contractions

17
New cards

Chloroquine MOA

synthetic derivative of quinine that prevent conversion of hematin (toxic) to hemazoin (nontoxic)

<p>synthetic derivative of quinine that prevent conversion of hematin (toxic) to hemazoin (nontoxic)</p>
18
New cards

ADRs of Chloroquie

GI side effects

HA

Visual disturbances

Urticaria

19
New cards

Mefloquine MOA

similar action to chloroquines, but effective against many chloroquine-resistant strains

<p>similar action to chloroquines, but effective against many chloroquine-resistant strains</p>
20
New cards

ADRs of Mefloquine

Neuropsychiatric

GI upset

Dermatological

Slow HR

Arrhythmias

21
New cards

Primaquine MOA

unclear BUT different than other quinolones becuase it is an 8-aminoquinolone (others have been 4-substituted)

<p>unclear BUT different than other quinolones becuase it is an 8-aminoquinolone (others have been 4-substituted)</p>
22
New cards

Lumefantrine MOA

erythrocytic schizonticide that is used in combo with Artemether

<p>erythrocytic schizonticide that is used in combo with Artemether</p>
23
New cards

ADRs of Lumefantrine

Anaphylaxis

HA

Dizziness

Anorexia

QT prolongation

24
New cards

Artemisinins MOA

endoperoxide group activation results in a carbon centered free radical mechanism in which the peroxide reacts with the iron in heme

<p>endoperoxide group activation results in a carbon centered free radical mechanism in which the peroxide reacts with the iron in heme</p>
25
New cards

ADRs of Artemisinins

Generally well tolerated

26
New cards

Pyrimethamine-Sulfadoxine MOA

combo DHPS and DHFR inhibitors to block parasite folate biosynthesis

27
New cards

Atovaquone-Proguanil MOA

-Atovaquone disrupts mitochondrial electron transport and DNA synthesis

-Proguanil (following activation) inhibits dihydrofolate reductase (antifolate mechanism) to inhibit DNA synthesis

28
New cards

Benzimidazoles

Mebendazole

Albendazole

29
New cards

Mebendazole MOA

inhibits fumarate reductase and binds to tubulin proteins to prevent tubulin polymerization to microtubules

<p>inhibits fumarate reductase and binds to tubulin proteins to prevent tubulin polymerization to microtubules</p>
30
New cards

Albendazole MOA

inhibits fumarate reductase and binds to tubulin proteins to prevent tubulin polymerization to microtubules

<p>inhibits fumarate reductase and binds to tubulin proteins to prevent tubulin polymerization to microtubules</p>
31
New cards

ADRs of Albendazole and Mebendazole

Gi upset

Liver dysfunction (long term use)

32
New cards

What are the contraindications of Albendazole and Mebendazole?

Pregnancy (teratogenic)

33
New cards

Ivermectin MOA

natural product that decreases the motility of helminths through chloride channel induction

<p>natural product that decreases the motility of helminths through chloride channel induction</p>
34
New cards

Praziquantel MOA

Affects calcium distribution which leads to muscle contractions and expulsion

<p>Affects calcium distribution which leads to muscle contractions and expulsion</p>
35
New cards

ADRs of Praziquantel

Diarrhea

Abdominal discomfort

36
New cards

Pyrantel Pamoate MOA

Depolarizing neuromuscular blocker, which causes paralysis of nematodes

<p>Depolarizing neuromuscular blocker, which causes paralysis of nematodes</p>
37
New cards

What is the drug of choice for pinworms?

Pyrantel Pamoate

38
New cards

Malathion MOA

organophosphate that irreversibly inhibits cholinesterase

<p>organophosphate that irreversibly inhibits cholinesterase</p>
39
New cards

ADRs of Malathion

Skin and scalp irritation

40
New cards

Pyrethrum and Pyrethroids MOA

nerve membrane sodium channel toxin (prolongs opening)

<p>nerve membrane sodium channel toxin (prolongs opening)</p>
41
New cards

Permethrin MOA

Inhibits sodium ion influx through nerve cell membrane channels in parasites resulting in delayed repolarization and thus paralysis and death of the pest

<p>Inhibits sodium ion influx through nerve cell membrane channels in parasites resulting in delayed repolarization and thus paralysis and death of the pest</p>
42
New cards

Lindane MOA

2nd line treatment for scabies that has insecticidal activity due to CNS stimulation due to GABA receptor antagonism

<p>2nd line treatment for scabies that has insecticidal activity due to CNS stimulation due to GABA receptor antagonism</p>
43
New cards

ADRs of Lindane

Potential systemic neurotoxicity

44
New cards

BBW of Lidnane

Avoid use in infants and individuals with known seizure disorders

45
New cards

Crotamiton MOA

2nd line treatment for scabies with an unknown mechanism

<p>2nd line treatment for scabies with an unknown mechanism</p>
46
New cards

Spinosad MOA

ACh receptor agonist that results in CNS excitation, paralysis, and death of lice

<p>ACh receptor agonist that results in CNS excitation, paralysis, and death of lice</p>